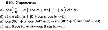
Помогите пожалуйста решить
Приложения:

ВикаБач:
Так это же готовые формулы... Просто сворачивай по ним.
Ответы
Ответ дал:
0
Ответ:
мне 6 класс и я не знаю как решит
Вас заинтересует
2 года назад
2 года назад
3 года назад
8 лет назад
9 лет назад