• Предмет: Математика
  • Автор: gabaalosmanov
  • Вопрос задан 8 лет назад

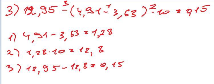
188.Решите по действиям​

Приложения:

Ответы

Ответ дал: skala
4

Ответ:

Фото

Пошаговое объяснение:

Отметь ответ как лучший пожалуйста :3

Приложения:
Ответ дал: clon83
3

Ответ:

1)16

2)7,65

3)0,15

4)3,5

Пошаговое объяснение:

Там всё понятно и написано

Надеюсь помогла ✌

Приложения:

skala: Вау, крутой почерк
skala: Аккуратный, не то что мой :D
clon83: спасибо☺️
clon83: я нажимаю сильно
Вас заинтересует