• Предмет: Математика
  • Автор: fm1000037
  • Вопрос задан 8 лет назад

срочнооооооооооооооо пжпжпжпж даю 10 баллов​

Приложения:

ulianazizoria: Нет,не в 5
skala: Нет, просто где-то в классе 9 или 10 будет тема про среднюю скорость
skala: Там и равномерное и неравномерное движение.
ulianazizoria: Ты в 9?
ulianazizoria: В 10?
skala: А какая разница?)
ulianazizoria: Ну вот)Порешали
fm1000037: задолбали хватит
ulianazizoria: Та ля,с тобой разговариваем?
ulianazizoria: Досвидания

Ответы

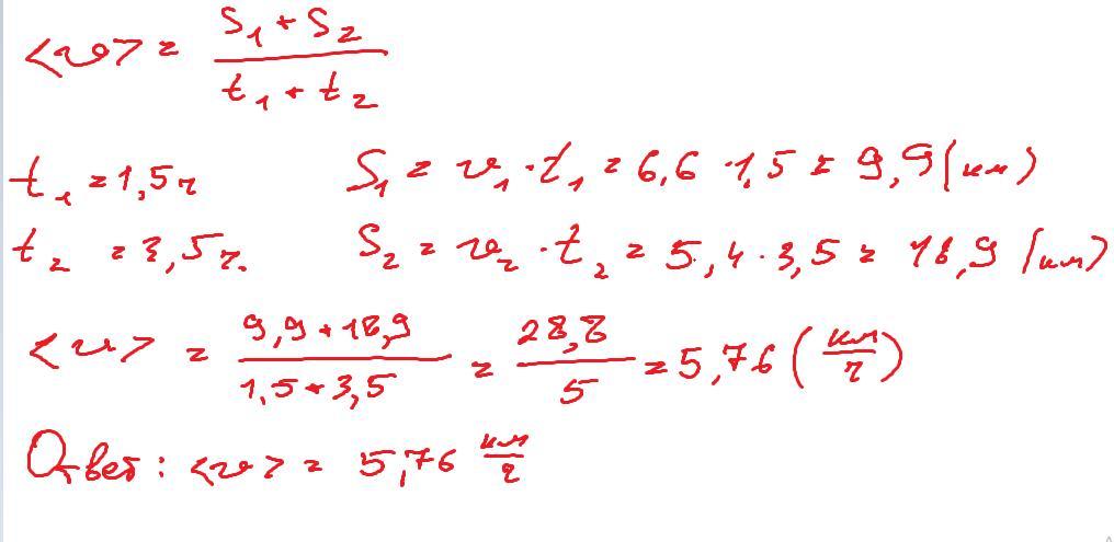
Ответ дал: skala
2

Ответ:

Фото

Пошаговое объяснение:

Отметьте пожалуйста ответ как лучший :3

Приложения:
Вас заинтересует