• Предмет: Алгебра
  • Автор: polinaru2003
  • Вопрос задан 8 лет назад

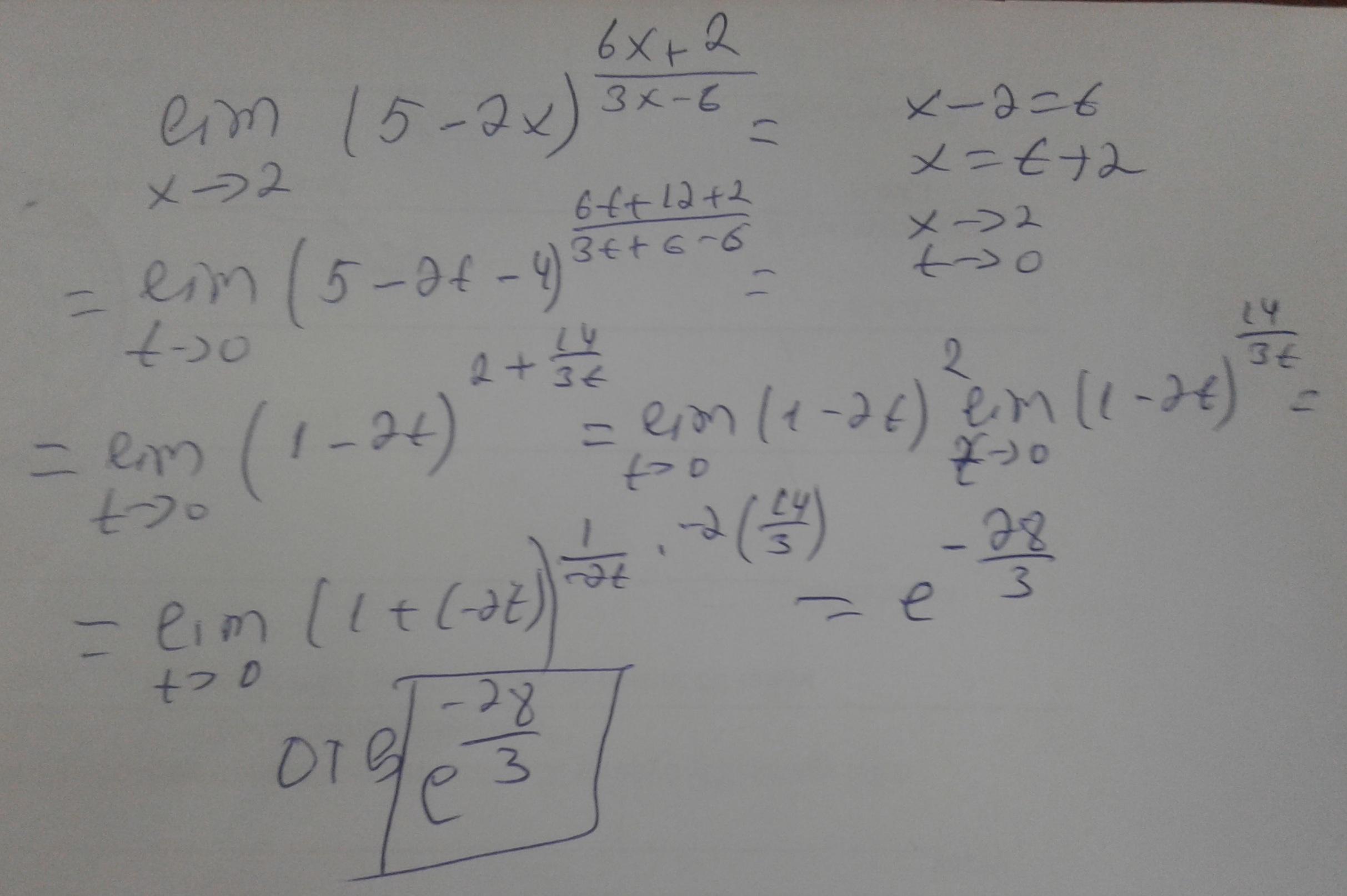
Помогите пожалуйста, высшая математика

Приложения:

Ответы

Ответ дал: Matematiktm
0

Ответ:

e^{-\frac{28}{3} }

Объяснение:

Приложения:
Вас заинтересует