• Предмет: Алгебра
  • Автор: dimapavlov200772
  • Вопрос задан 8 лет назад

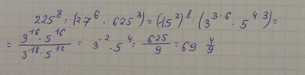
225^8 : (27^6 * 625^3)

Ответы

Ответ дал: anyutik15
2

Ответ:

подробное решение на фото, если не понятно, то спрашивай

Приложения:
Вас заинтересует