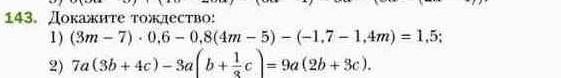
ПОМОГИТЕ СДЕЛАТЬ АЛГЕБРУ 7 КЛАСС НОМЕР 143 ДАМ 30 БАЛЛОВ МЕРЗЛЯК Можете сделать 1 и 2 пожалуйста
Приложения:

Ответы
Ответ дал:
1
Ответ:
1) m - любое
2) a, b, c - любое
Объяснение:
1)
1,8m - 4,2 - 3,2m + 4 + 1,7 + 1,4m = 1,5
1,8m + 1,4m - 3,2m = 1,5 + 4,2 - 4 - 1,7
0m = 0
Ответ: m - любое
2)
21ab + 28ac - 3ab - ac = 18ab + 27ac
21ab - 18ab - 3ab + 28ac - ac - 27ac = 0
0ab + 0ac = 0
a, b, c - любое
Вас заинтересует
2 года назад
2 года назад
3 года назад
3 года назад
8 лет назад
9 лет назад