• Предмет: Алгебра
  • Автор: ladybog2015
  • Вопрос задан 8 лет назад

решите пжжжж срочно даю 50 баллв пжжжжжжжжжжж

Приложения:

Ответы

Ответ дал: anyutik15
1

Ответ:

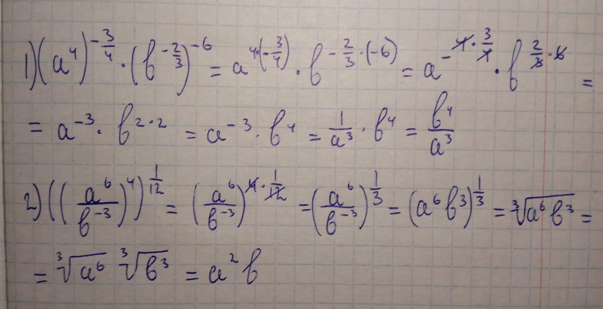
подробное решение на фото, если не понятно, то спрашивай

Приложения:
Ответ дал: vermilionasss
0

Ответ:

на фото в подробностях

Объяснение:

я надеюсь вы проходили эти формулы

Приложения:
Вас заинтересует