• Предмет: Математика
  • Автор: kottwisted
  • Вопрос задан 11 лет назад

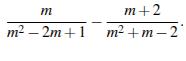
нужно упростить выражение. помогите

Приложения:

Ответы

Ответ дал: Ariaks
0
до этого, домнажаем на знаменатель , грубо говоря крест накрест!
(m^3 +m^2-2m)-(m^3-2m^2+m+2m^2-4m+2)=
m^3+m^2-2m-m^3-3m+2=
m^2-5m+2
Вас заинтересует