• Предмет: Алгебра
  • Автор: Njiop12
  • Вопрос задан 8 лет назад

Помогите пожалуйста!!!


Очень срочно


Постройте взаимно обратные функции:

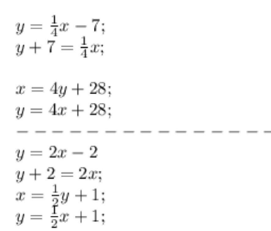
У=1/4 х - 7

У= 2х-2

С рисунком и решением

Ответы

Ответ дал: dilnaztolkynbek0
0

Ответ:

1) y = 1/4 x - 7 Взаимо обратные функции: y=4x+28

2) y = 2 x - 2 Взаимо обратные функции: y=1/2x+1

Приложения:

Njiop12: покажи пожалуйста как это нарисовать, взаимообратные
Вас заинтересует