• Предмет: Химия
  • Автор: mw8c5d9tvg
  • Вопрос задан 8 лет назад

Помогите с дз плз срочняк

Приложения:

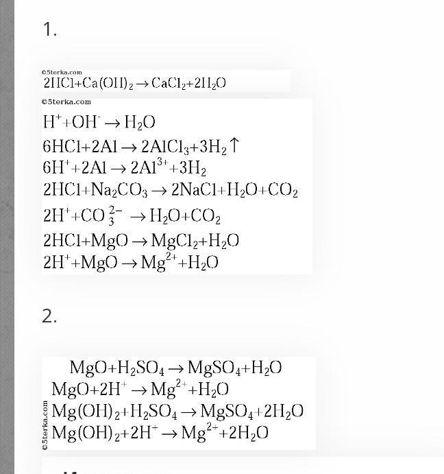
Ответы

Ответ дал: herobrintv666
0

больше не как не смогу обьяснить

Приложения:
Вас заинтересует