• Предмет: Алгебра
  • Автор: lolkek1716
  • Вопрос задан 8 лет назад

Помогите пж даю 50 баллов

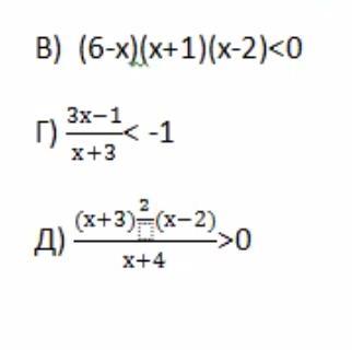
Приложения:

Ответы

Ответ дал: NNNLLL54
1

Ответ:

1)\ \ (6-x)(x+1)(x-2)<0\ \ \ \to \ \ \ \ (x-6)(x+1)(x-2)>0\\\\znaki:\ \ ---(-1)+++(2)---(6)+++\\\\x\in (-1\ ;\ 2\ )\cup (\ 6\ ;+\infty \, )\\\\\\2)\ \ \dfrac{3x-1}{x+3}<-1\ \ \ \ \to \ \ \ \dfrac{3x-1}{x+3}+1<0\ \ ,\ \ \ \dfrac{3x-1+x+3}{x+3}<0\ \ ,\\\\\\\dfrac{4x+2}{x+1}<0\ \ \ ,\ \ \ \dfrac{2\, (2x+1)}{x+3}<0\\\\\\znaki:\ \ +++(-3)---(-0,5)+++\\\\x\in (-3\ ;\ 0,5\ )

3)\ \ \dfrac{(x+3)^2-(x-2)}{x+4}>0\ \ \ \to \ \ \ \ \dfrac{x^2+6x+9-x+2}{x+4}>0\ \ ,\\\\\\\dfrac{x^2+5x+11}{x+4}>0\\\\x^2+5x+11>0\ \ pri\ \ x\in R\ ,\ tak\ kak\ \ D=-19<0\ ,\ a=1>0\ \ \Rightarrow \\\\\Rightarrow \ \ \ x+4>0\ \ ,\ \ x>-4\\\\x\in (-4\ ;+\infty \, )

Вас заинтересует