• Предмет: Алгебра
  • Автор: YarikKalinin2108
  • Вопрос задан 8 лет назад

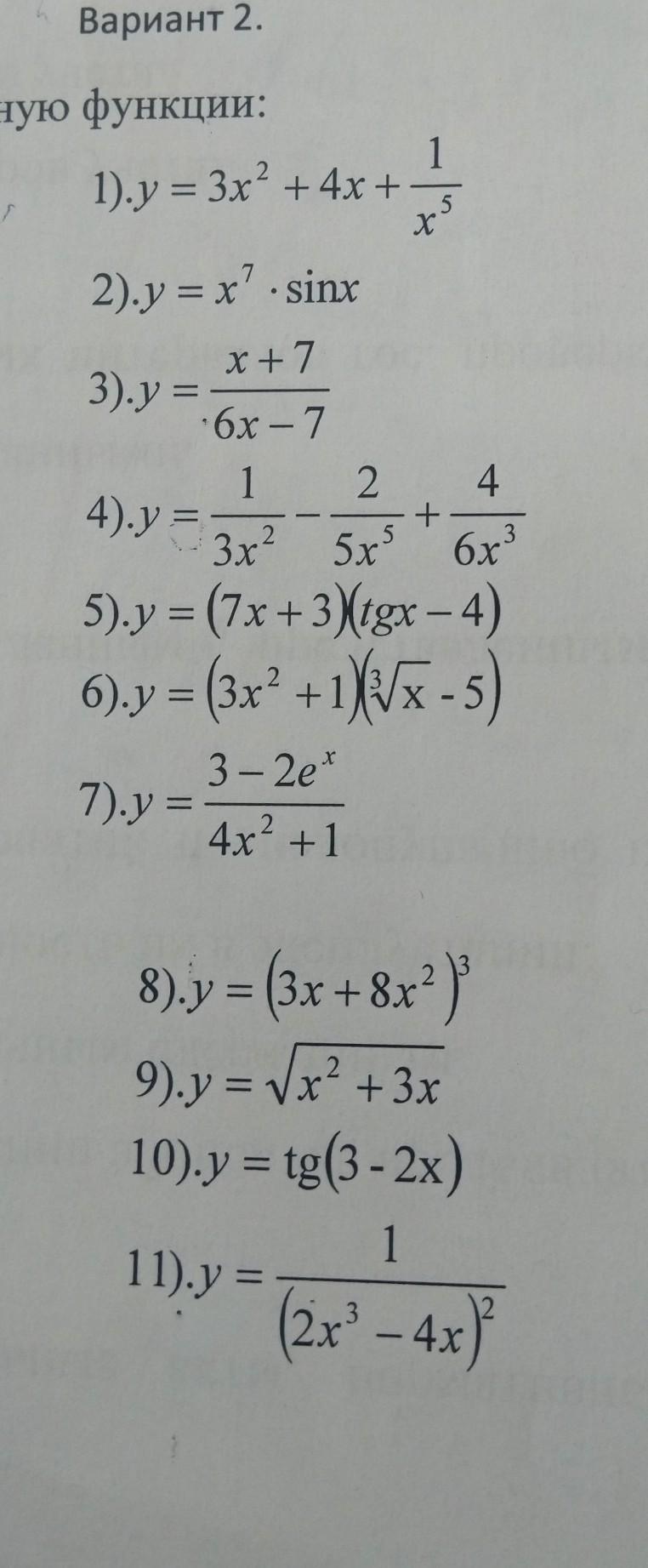
Помогите пожалуйста решить. Вычисление производных

Приложения:

Ответы

Ответ дал: milleeenium
1
Ответ решения . Надеюсь все видно
Приложения:

YarikKalinin2108: спасибо большое за ответ! ;) Было бы отлично если сможете отдельно сфоткать ответы :)
milleeenium: Да у вас есть телеграмм
milleeenium: +77072837515 моя телега
YarikKalinin2108: Да. Написал вам
Вас заинтересует