• Предмет: Алгебра
  • Автор: Elizavetatrifonova
  • Вопрос задан 11 лет назад

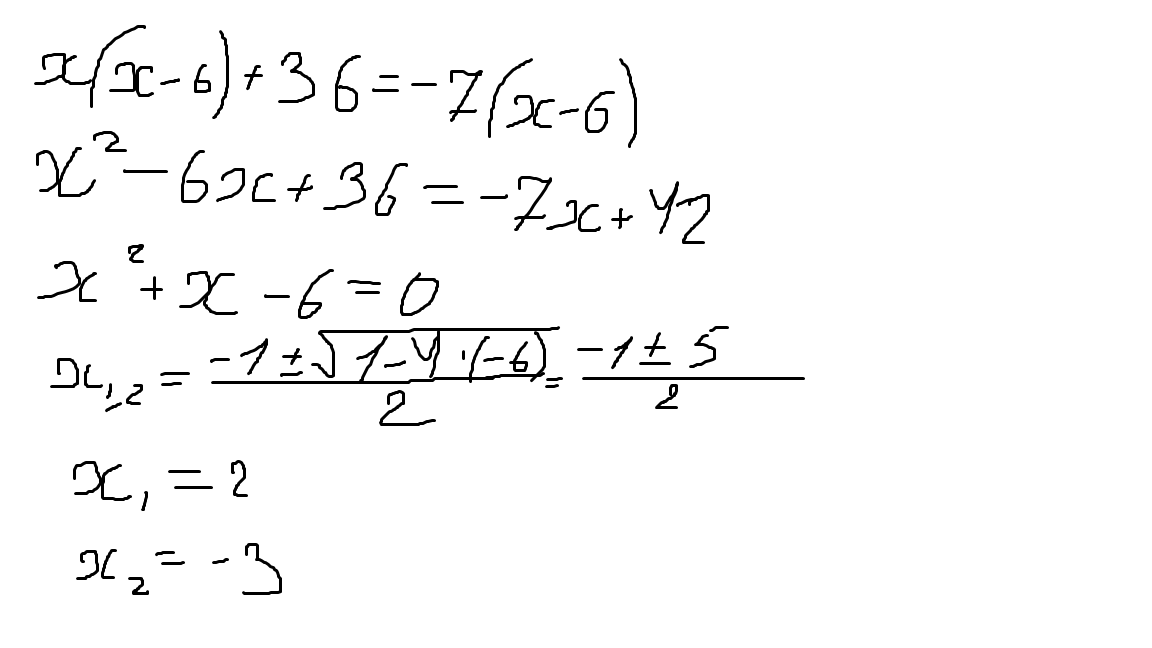
Помогите пожалуйста!!Знаю,что пример простой,но никак не получается решить.
Не могу найти ошибку.
Очень нужна помощь.Надеюсь,хотя бы тут меня вразумят!!!!

Приложения:

Ответы

Ответ дал: Ekaterina1819
0
Ответ будет под номером 4.
Приложения:
Вас заинтересует