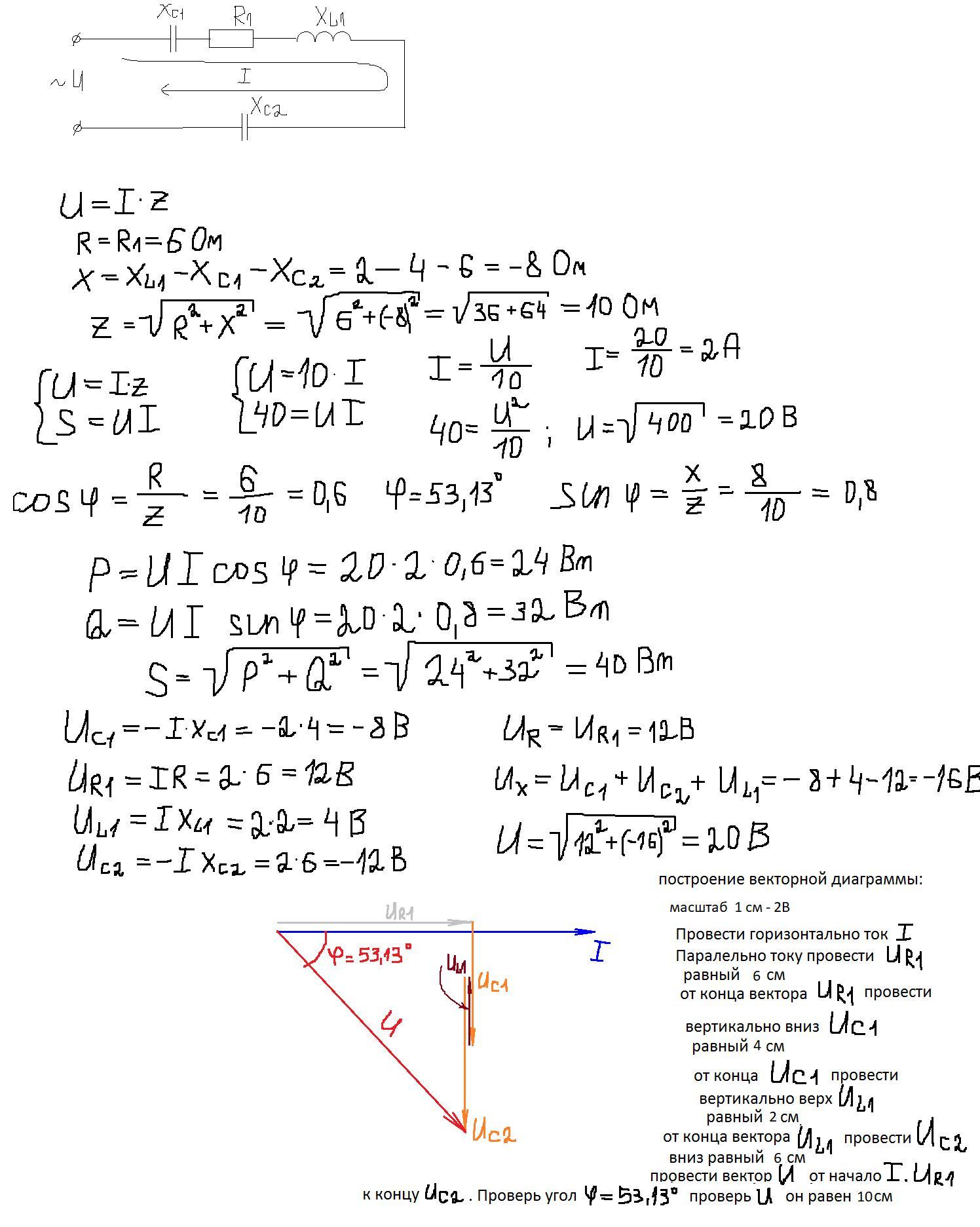
1. Сделать расчет полного сопротивления.
2. Сделать расчет токов и напряжений.
3. Сделать расчет коэффициентов мощности однофазной цепи
4. Сделать расчет мощности однофазной цепи.
5. Найти общий ток однофазной цепи.
6. Найти общий коэффициент мощности однофазной цепи.
7. Построить векторную диаграмму, для этого нужно выбрать масштаб согласно току и напряжению.
Приложения:

Ответы
Ответ дал:
1
Ответ:
решение смотрите на картинке
Объяснение:
Приложения:

Вас заинтересует
2 года назад
2 года назад
3 года назад
3 года назад
8 лет назад
9 лет назад