• Предмет: Алгебра
  • Автор: itsflorka
  • Вопрос задан 8 лет назад

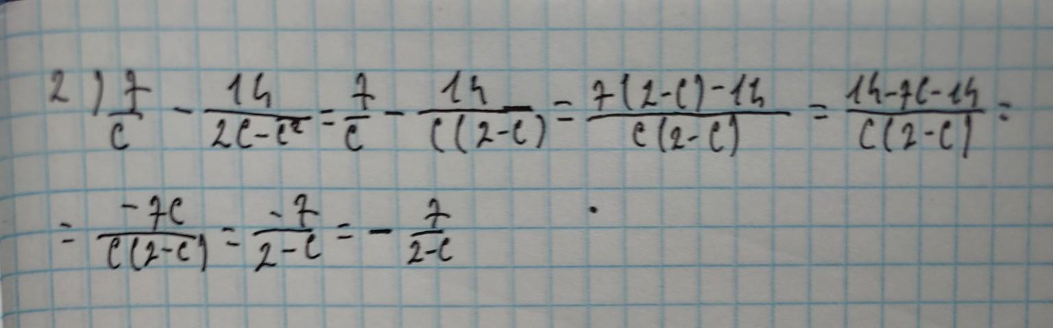
Допоможіть будь ласка, завдання на картинці​

Приложения:

Ответы

Ответ дал: illyasedelnikov123
1

Ответ:

1.А

2.Г

3.В

4.В

Объяснение:

если 7 надо,то скинь свой тг

Приложения:

itsflorka: itsflorka
Вас заинтересует