• Предмет: Алгебра
  • Автор: hollynesse
  • Вопрос задан 8 лет назад

Решите Иррациональное уравнение, пожалуйста!!

Приложения:

Ответы

Ответ дал: yanchikaks
0

как-то так)))

)))))))))))))))))))))))

Приложения:
Ответ дал: mmb1
0

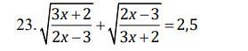
√(3x + 2)/(2x - 3) + √(2x - 3)/(3x + 2) = 2.5

одз  (3x + 2)/(2x - 3) > 0

++++++++++(-2/3) --------------- (3/2) +++++++++

x ∈ (-∞,-2/3) U (3/2, +∞)

√(3x + 2)/(2x - 3) = y  > 0

y + 1/y = 5/2

2y² - 5y + 2 = 0

D = 25 - 16 = 9

y12 = (5 +- 3)/4 = 2    1/2

1/ y = 2

√(3x + 2)/(2x - 3) = 2

(3x + 2)/(2x - 3) = 4

3x + 2 = 8x - 12

5x = 14

x = 14/5   > 3/2 да

2/ y = 1/2

√(3x + 2)/(2x - 3) = 1/2

(3x + 2)/(2x - 3) = 1/4

12x + 8 = 2x - 3

10x = -11

x = -11/10   < -2/3 да

ответ x = {-11/10, 14/5}

Вас заинтересует