• Предмет: Алгебра
  • Автор: saddamusarov7
  • Вопрос задан 8 лет назад

Помагите пожалуйста ​

Приложения:

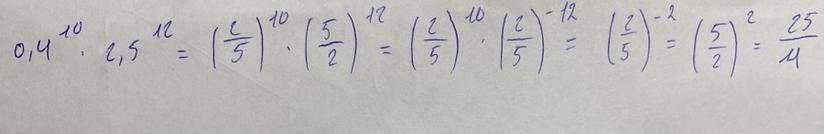
Ответы

Ответ дал: kristinaprygunova98
1
держи))
удачи в школе и хороших оценок)))
Приложения:
Вас заинтересует