• Предмет: Математика
  • Автор: dzameliaslanova856
  • Вопрос задан 8 лет назад

можно ????????????????? 40б​

Приложения:

Ответы

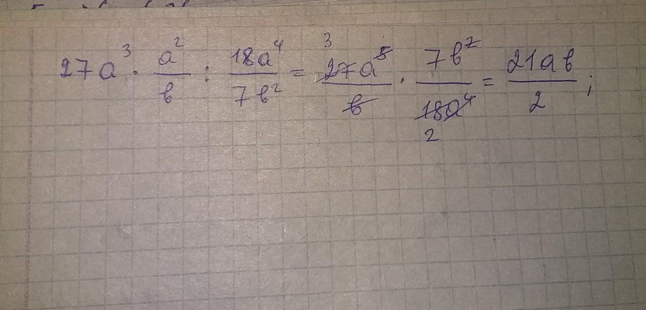
Ответ дал: jalilovis
1

Пошаговое объяснение:

удачного дня и хорошего настроения)

Приложения:

dzameliaslanova856: спасибо вам
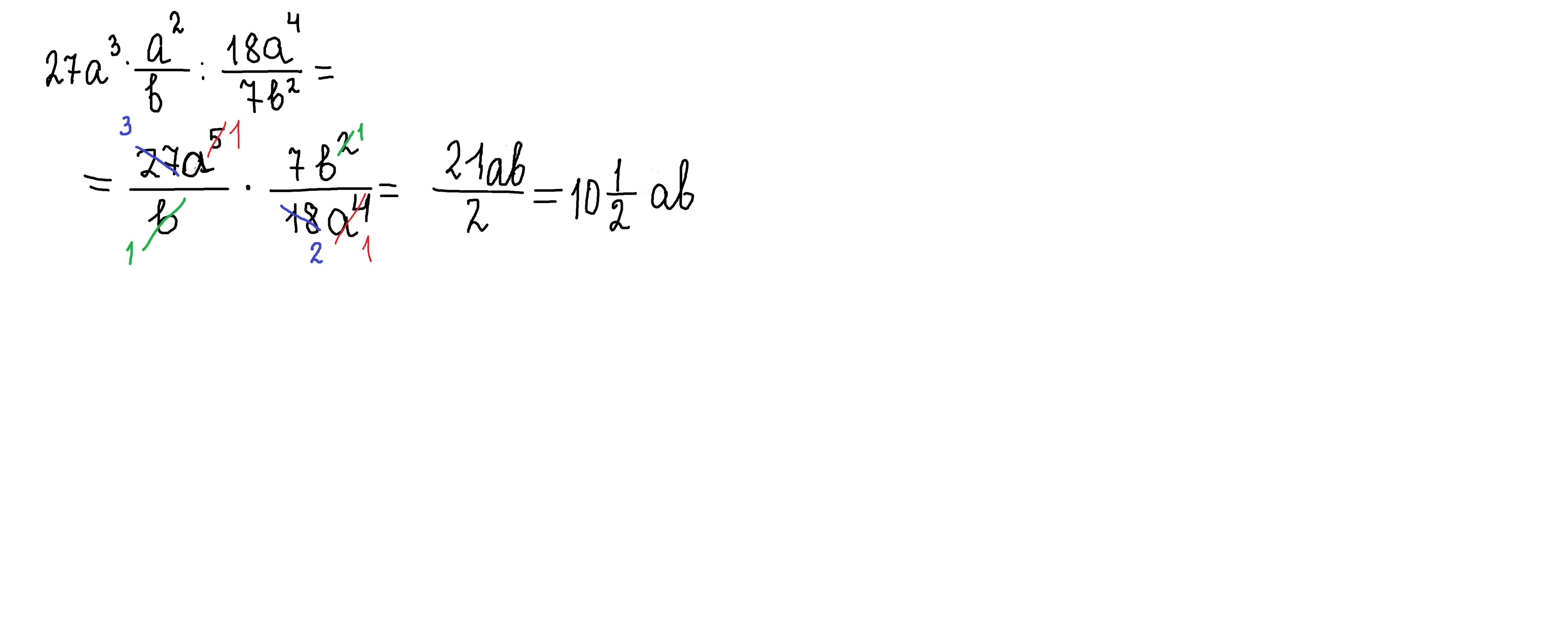
Ответ дал: parus77
1

Ответ:

10 1\2 ab

Пошаговое объяснение:

Приложения:
Вас заинтересует