• Предмет: Математика
  • Автор: bueraaaak
  • Вопрос задан 8 лет назад

помогите пожалуйста номер 106 Буква а
даю 25 баллов!!

Приложения:

Ответы

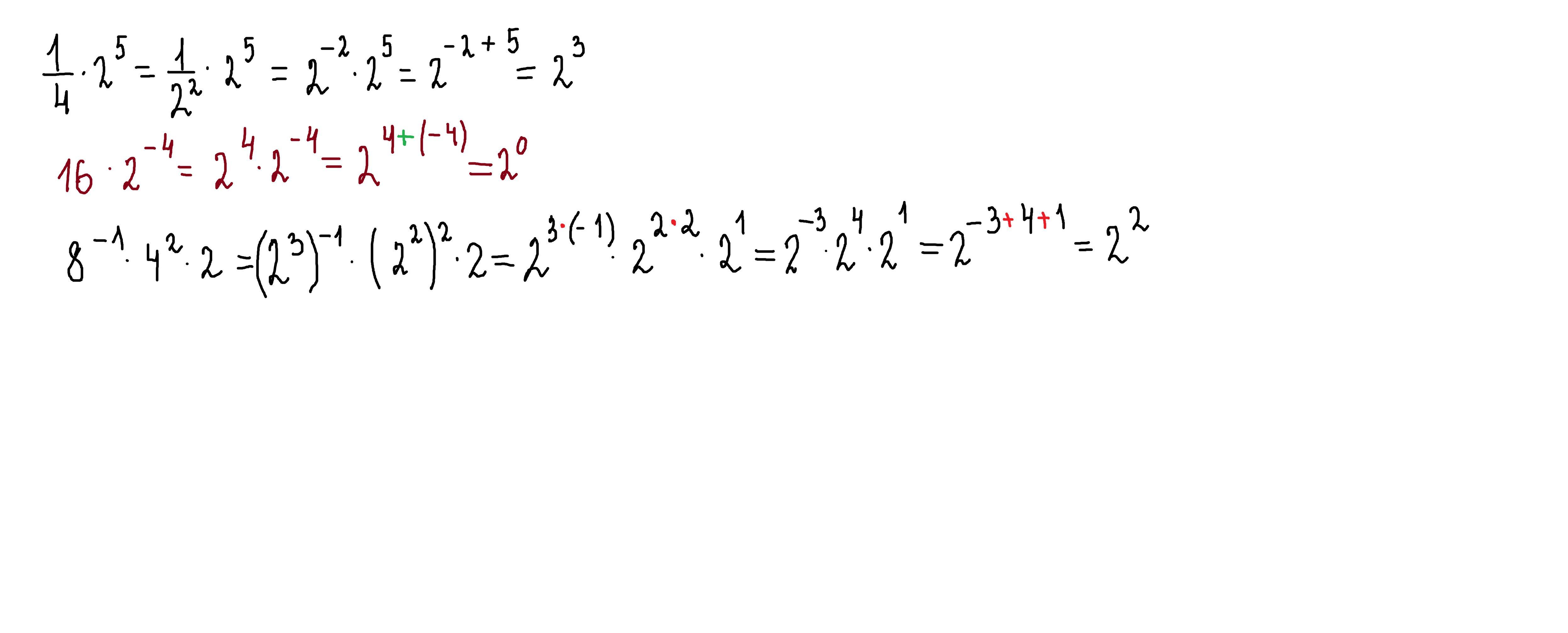
Ответ дал: parus77
1

Ответ:

Пошаговое объяснение:

решение внизу

Приложения:
Вас заинтересует