• Предмет: Алгебра
  • Автор: giornogjovana
  • Вопрос задан 8 лет назад

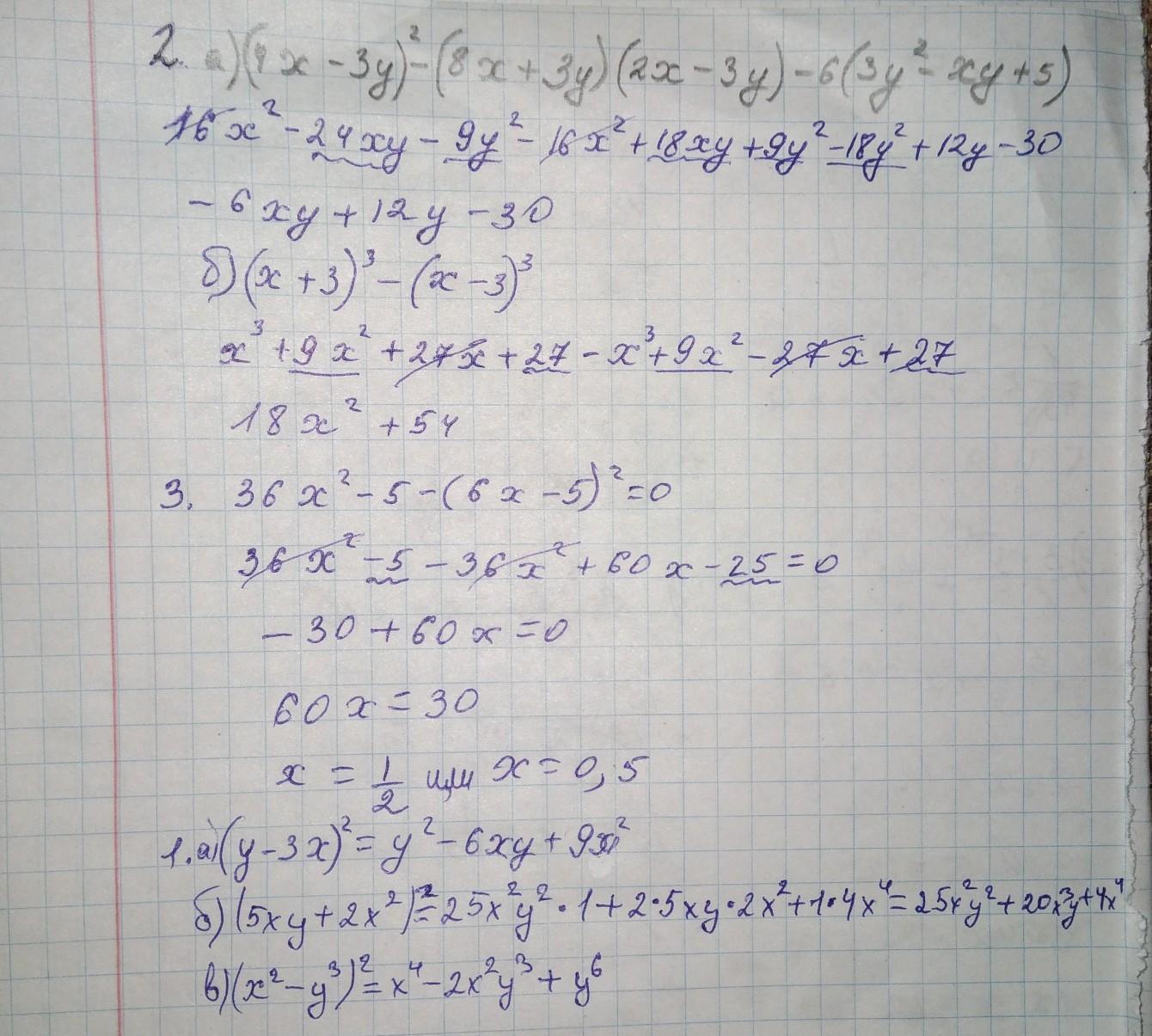
помогите пжлста очень надо очень вас прошу кто нибудь! ​

Приложения:

Ответы

Ответ дал: khusanovarobia19
1

Объяснение:

отметь пожалуйста лучший ответ и лайкни

Приложения:

khusanovarobia19: спасибо на тот вопрос тоже отметь пожалуйста
Вас заинтересует