• Предмет: Математика
  • Автор: tordbot
  • Вопрос задан 8 лет назад

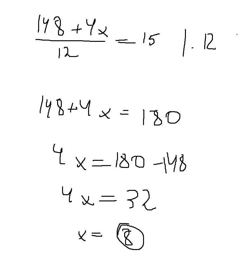
(148+4x) : 12 = 15 уравнение пж​

Ответы

Ответ дал: rusaalim123
0

Ответ: х=8

Пошаговое объяснение:

Приложения:
Вас заинтересует