ПОЖАЛУЙСТА ПОМОГИТЕ 40 БАЛОВ, МАТЕМАТИКУ КТО ПОНИМАЕТ ПЖ ПЖ ПЖ.
Приложения:

gazezayanat:
какое класс
Ответы
Ответ дал:
2
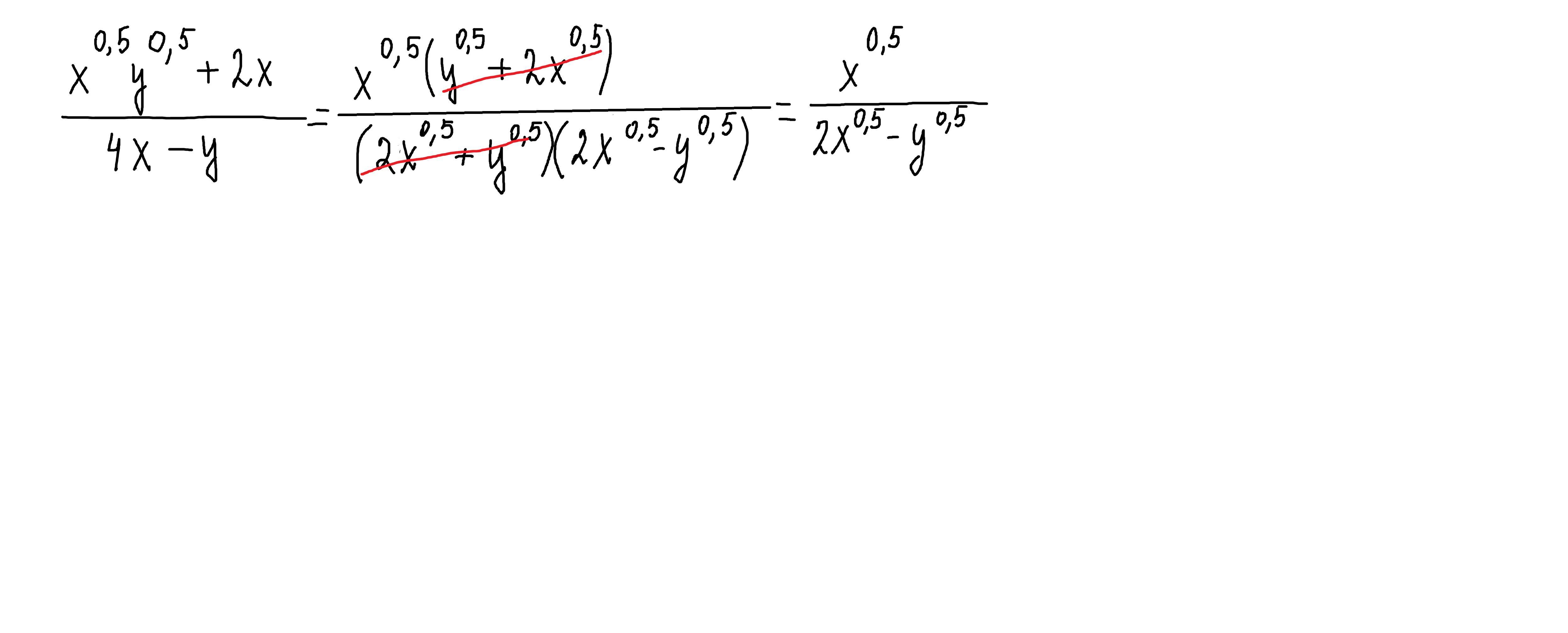
Ответ:
Объяснение:
решение внизу
Приложения:

Вас заинтересует
2 года назад
3 года назад
8 лет назад
9 лет назад
9 лет назад