• Предмет: Математика
  • Автор: rdk2012kz
  • Вопрос задан 8 лет назад

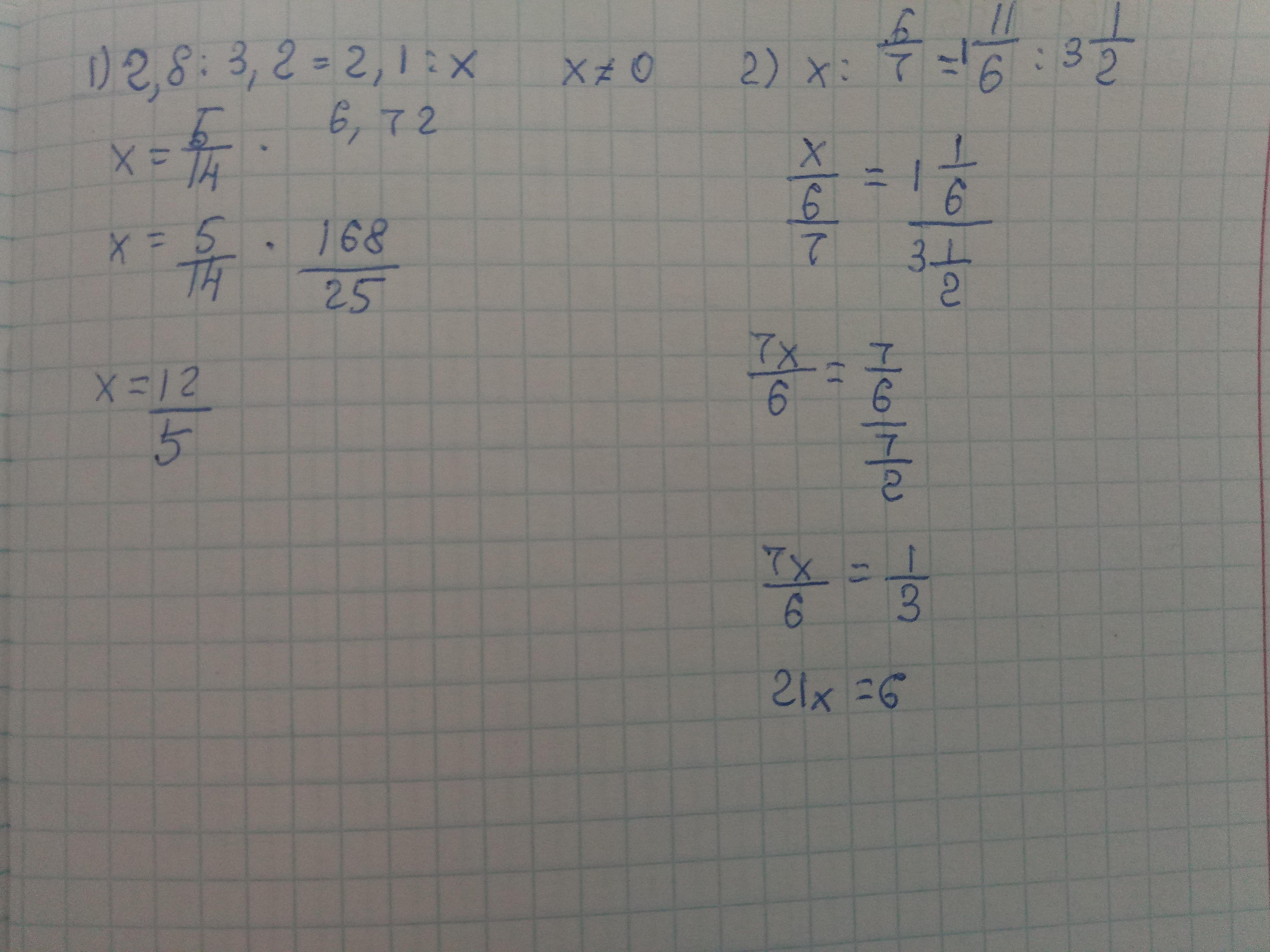
помогите пожалуйста если хотите можете делать все не торопясь​

Приложения:

Ответы

Ответ дал: northerbark6
1

Если что оть

1) 2,8÷3,2=2,1:x x≠0

x=5/14×6,72

x=5/14×168/25

x=12/5

2) x:6/7=1 1/6:3 1/2

x/6/7=1 1/6 / 3 1/2

7x/6= 7/6 / 7/2

7x/6=1/3

21x=6

x=2/7

Приложения:
Вас заинтересует