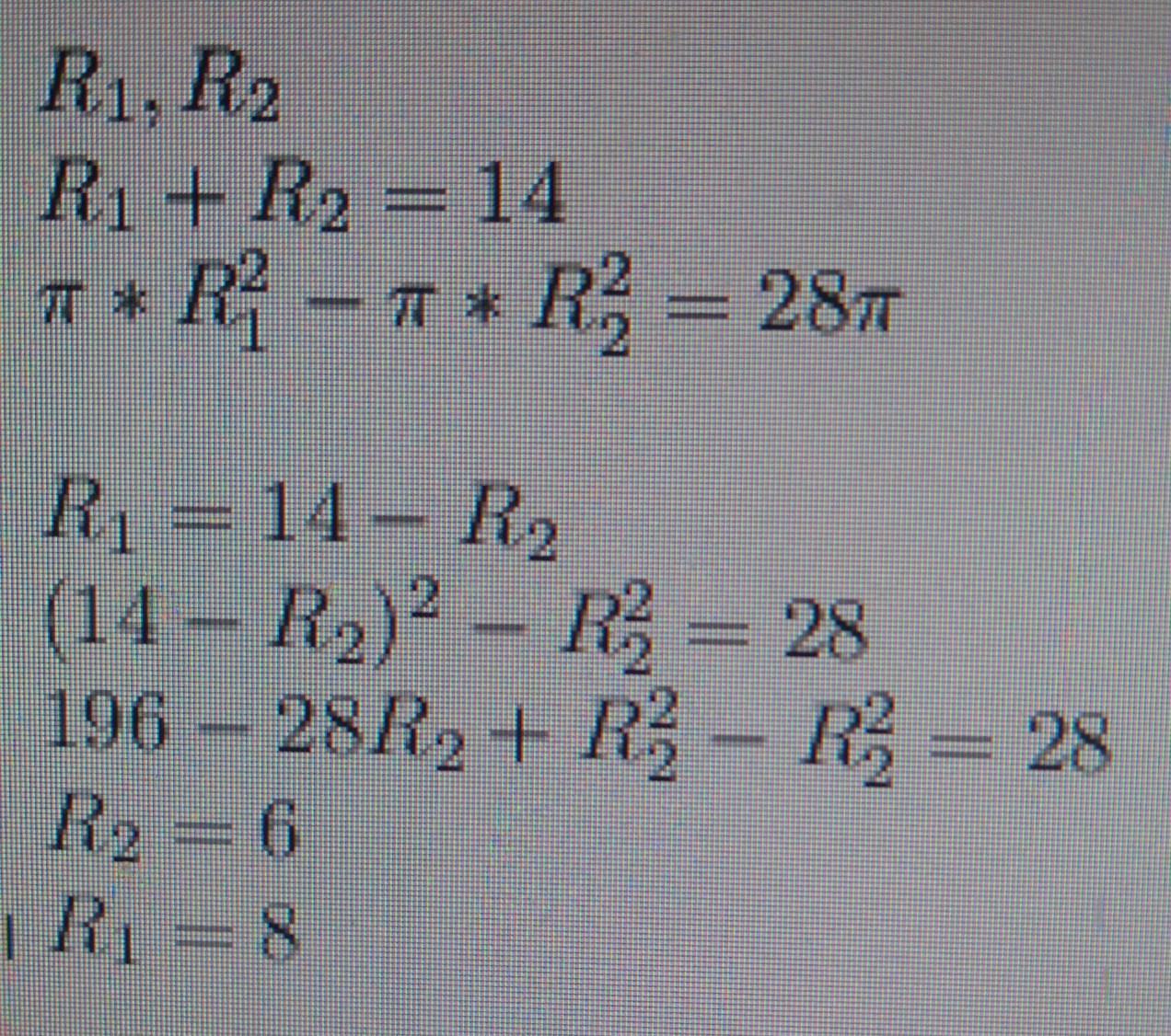
1) Сумма длин радиусов двух окружностей составляет 14 см, а разница между площадями составляет 28 п см². Найдите длины радиусов колес.
Ответы
Ответ дал:
1
вот,не благодари.
Если что я с инета нашла.Потому что не очень умная;)
Приложения:

adeliyaui:
Спасибо!
Вас заинтересует
2 года назад
2 года назад
3 года назад
3 года назад
8 лет назад
8 лет назад