• Предмет: Алгебра
  • Автор: dansimden070
  • Вопрос задан 8 лет назад

Помогите плиз сор дам много баллов

Приложения:

Ответы

Ответ дал: larisaserova53
0

Ответ:

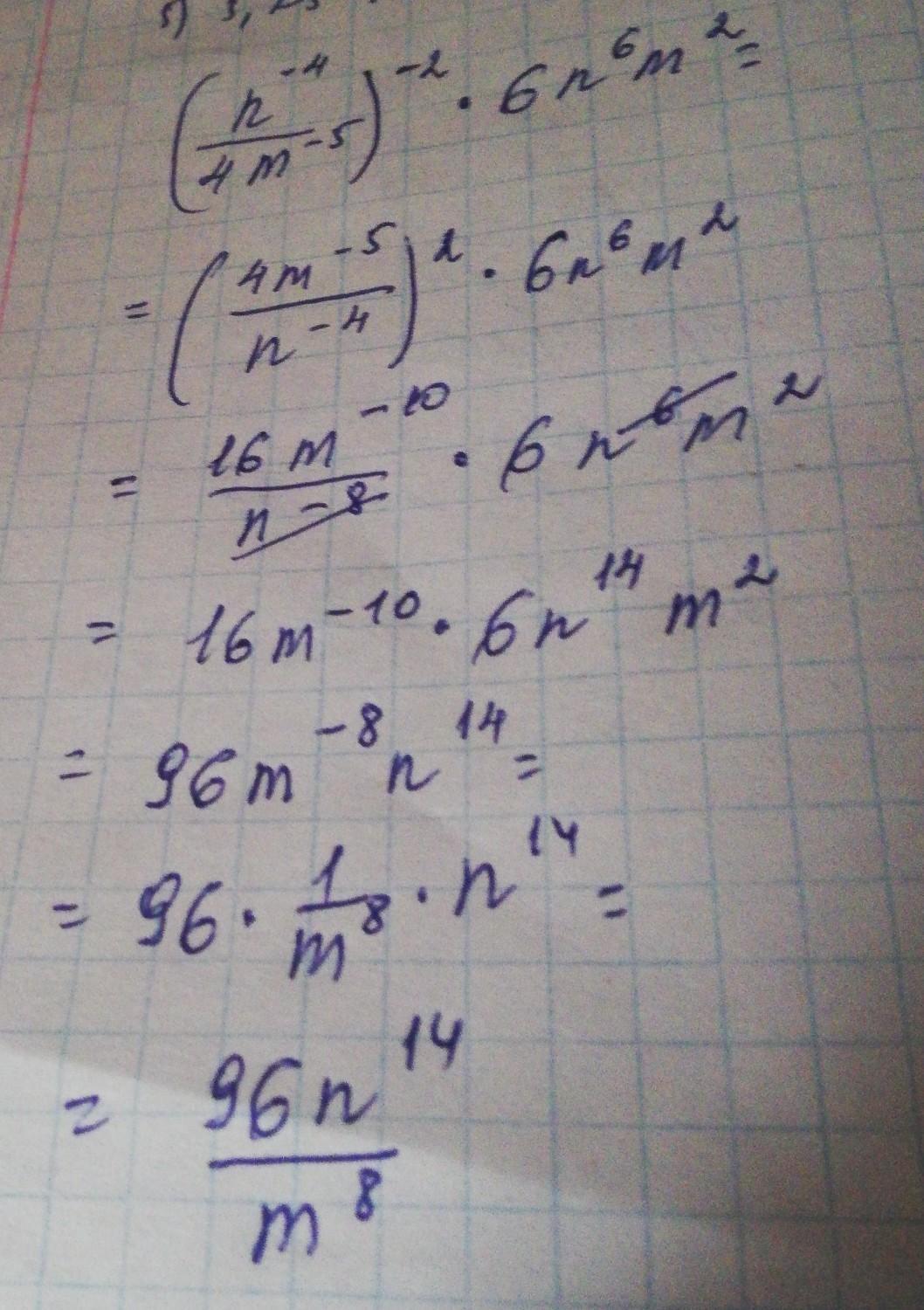
Смотри решение на фото выше

Приложения:
Ответ дал: keeper5
0

Ответ:

Объяснение:

(\frac{n^{6} }{4m^{10} })*6n^{6}m^{2}  = \frac{6n^{12}m^{2}  }{4m^{10} } = \frac{3n^{12} }{2m^{-8} }

Вас заинтересует