• Предмет: Алгебра
  • Автор: fudzisakic76
  • Вопрос задан 8 лет назад

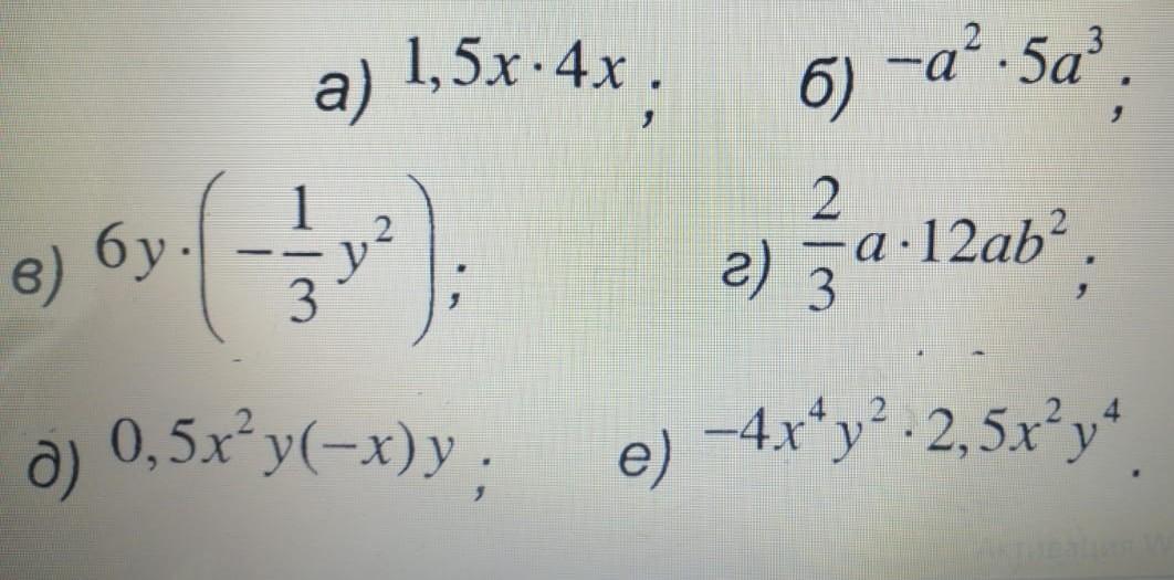
приведите одночлен к стандартному виду ​

Приложения:

Ответы

Ответ дал: wieslawlozickip5w1nd
1

Ответ:

Объяснение:

a)1,5x*4x=6x²                     b)   -a²*5a³=-5a^5

c)6y*(-1/3y²)=-2y³           d)2/3a*12ab²=8a²b²

e)0,5x²y(-x)y=-0,5x³y²          f)-4x^4y²*2,5x^2y^4=-10x^6y^6


fudzisakic76: спасибо огромноеее
Вас заинтересует