Ребят помогите пожалуйста, самостоятельная работа.
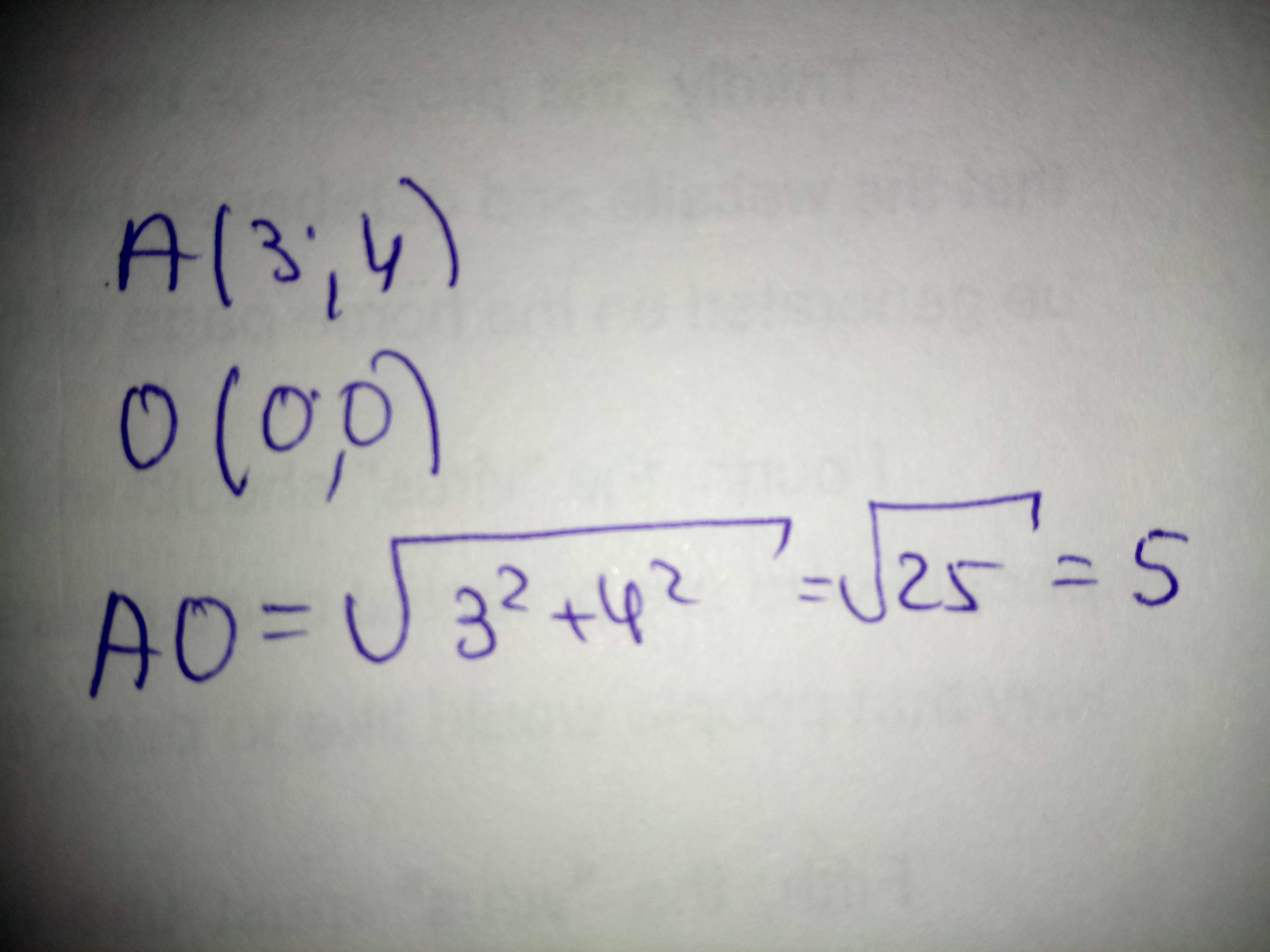
найдите расстояние от начала координат до точки А (3, 4)
Какой ответ правильный.
А-3 ; Б-4 ; В-5 ; Г-7.
Ответы
Ответ дал:
1
Відповідь: 5
Пояснення: фото
Приложения:

Вас заинтересует
2 года назад
2 года назад
3 года назад
3 года назад
8 лет назад
8 лет назад
9 лет назад
9 лет назад