• Предмет: Алгебра
  • Автор: veronikatsoy07
  • Вопрос задан 8 лет назад

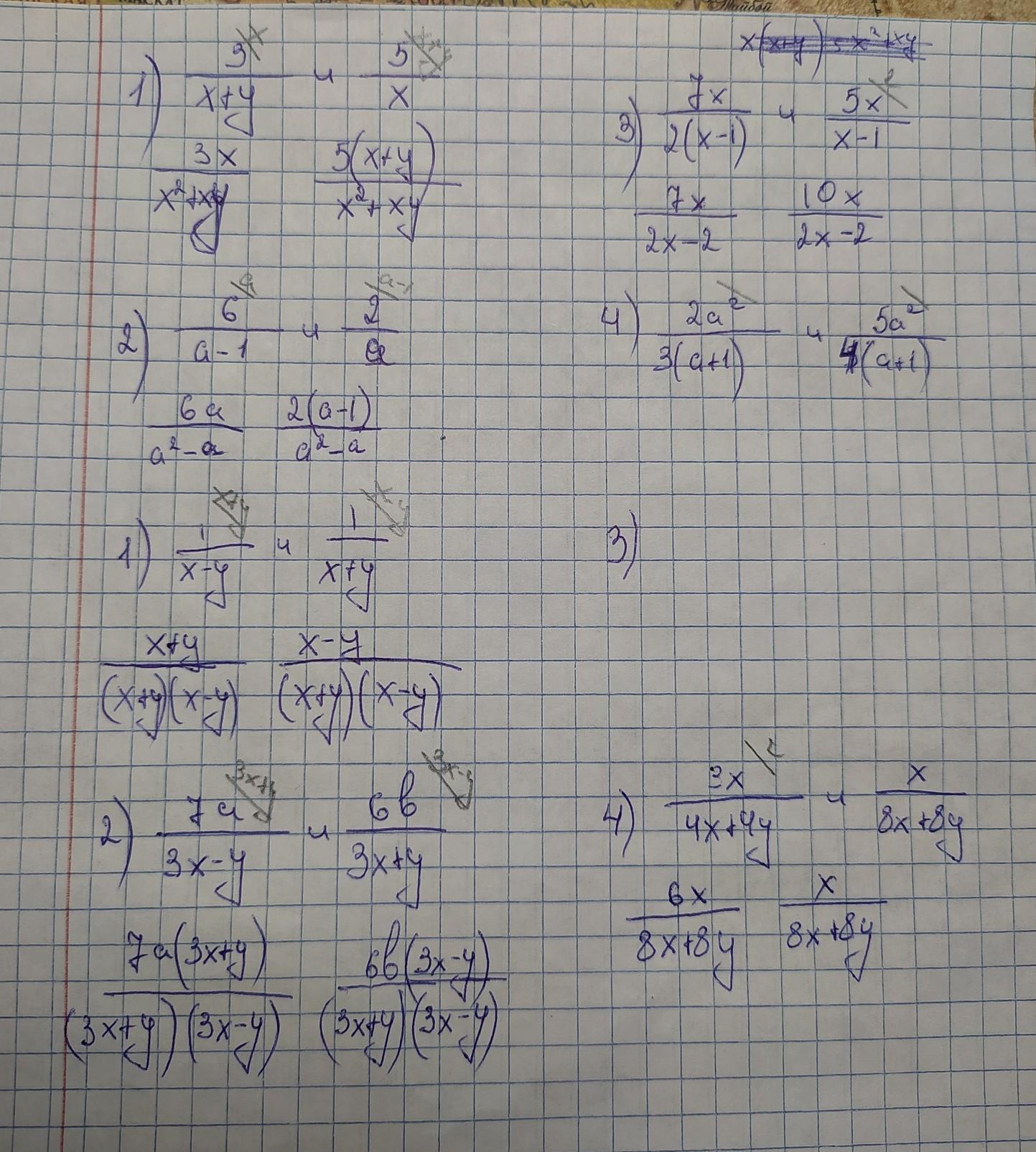
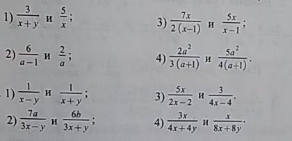
приведите следующие дроби к общему знаменателю​

Приложения:

Ответы

Ответ дал: riveggg
1

Ответ:

здесь не всё, некоторые не смогла решить, извини

Приложения:

veronikatsoy07: спасибо большое
Вас заинтересует