• Предмет: Алгебра
  • Автор: macs424q
  • Вопрос задан 8 лет назад

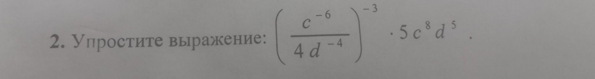
с -6 2. Упростите выражение: 5 сая 4 d​

Приложения:

Ответы

Ответ дал: bb573878
0

Ответ:

Объяснение:

\displaystyle\bf\\\bigg(\frac{c^{-6}}{4d^{-4}}\bigg)^{-3}\cdot5c^8d^5=\frac{c^{18}}{4^{-3}d^{12}}\cdot5c^8d^5=  \frac{4^3*c^{18}}{d^{12}}\cdot5c^8d^5= \\\\\\=\frac{64\cdot5*c^{18+8}}{d^{12-5}} =\frac{320c^{26}}{d^7}

Вас заинтересует