• Предмет: Алгебра
  • Автор: Аноним
  • Вопрос задан 8 лет назад

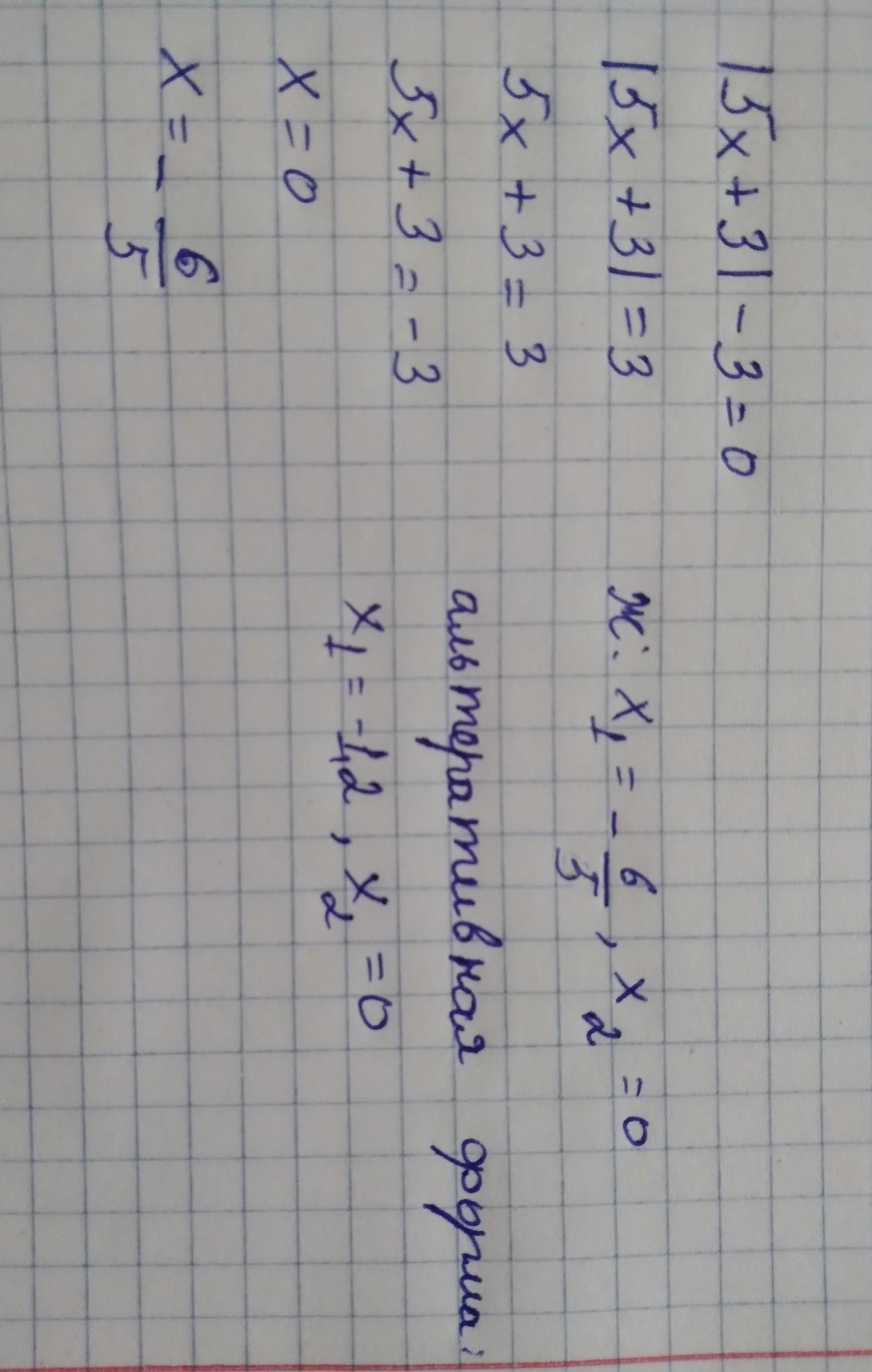
|5х+3|-3=0
пожалуйста, решите, я не знаю как((
дам 10 баллов ​

Ответы

Ответ дал: kseniasestakova926
1

Ответ:

1,2

Объяснение:

5х+3=3

5х=3+3

5х=6

х=6:5

х= 1, 2

Ответ дал: zheksenakovjk
1

вот вот вот вот вот вот <33

Приложения:
Вас заинтересует