• Предмет: Алгебра
  • Автор: annasapelnikova0
  • Вопрос задан 8 лет назад

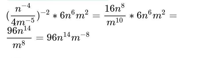
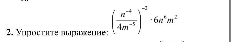
Упростите выражение:


(n^-4/4m^-5)^-2 * 6n^6m^2

Приложения:

Ответы

Ответ дал: Kosheshka
2

Ответ:

(n^-4/4m^-5)^-2 × 6n^6m^2

(4m^-5/n^-4)^2 × 6n^6m^2

16m^-10/n^-8 × 6n^6m^2

16m^-10 × 6n^14m^2

96m^-8n^14

96 × 1/m^8 × n^14

96n^14/m^8


Kosheshka: если не сложно, поставь как лучший ответ :>
Ответ дал: altynaiaralbai
2

Ответ:

это правильно 100%

Приложения:
Вас заинтересует