• Предмет: Алгебра
  • Автор: vate12344321
  • Вопрос задан 8 лет назад

помогите даю 35 баллов

Приложения:

Аноним: упростить?
vate12344321: да

Ответы

Ответ дал: Аноним
0

12х+49

Объяснение:

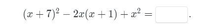
(x + 7) { }^{2}  -2x(x + 1) + x {}^{2}  = x {}^{2}  + 14x + 49 - 2x {}^{2}  - 2x + x {}^{2} = 0 + 12x + 49 = 12x + 49

Ответ дал: KillCypher
0

Ответ:

12x+49

Объяснение

(x-7)²-2x(x+1)+x²=x²+14x+49-2x²-2x+x²= 0+12x+49

Вас заинтересует