• Предмет: Математика
  • Автор: KINGTHENIGHT
  • Вопрос задан 8 лет назад

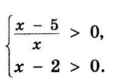
Решить систему неравенство через интервалы​

Приложения:

Ответы

Ответ дал: sabirzelena
1

Ответ:

Пошаговое объяснение:

{(х-5)/х>0

{х-2>0

Первый вариант

{х>5.

{х>0

{х>2

х∈(5 ;+∞)

Второй вариант.

х<5

х<0

х>2

нет решений.

Ответ:

х∈(5;+∞)


KINGTHENIGHT: спасибо, выручили
sabirzelena: задавай вопросы
KINGTHENIGHT: ну смотри если в знаменателе стоит х то чему он равен?
sabirzelena: любое число кроме нуля
KINGTHENIGHT: все понял спасибо
sabirzelena: при х=0 неравенство не имеет смысл
sabirzelena: почему два варианта ,потому что первое неравенство дробное , оно может быть больше нуля , когда числитель и знаменатель больше нуля и когда числитель меньше нуля и знаменатель меньше нуля , тогда дробь будет больше нуля.
KINGTHENIGHT: а еще вопрос когда отмечаешь на координатной прямой корни то там нужно найти пересечение и вот как это сделать
sabirzelena: да, больше 5, больше 0 , больше 2. Находим совпадение,где выполняются все условия . (это х>5)
Вас заинтересует