• Предмет: Алгебра
  • Автор: Аноним
  • Вопрос задан 8 лет назад

Пж помогите дам 110 балов выручите ​

Приложения:

Ответы

Ответ дал: mussayevaaktoty
1

Объяснение:

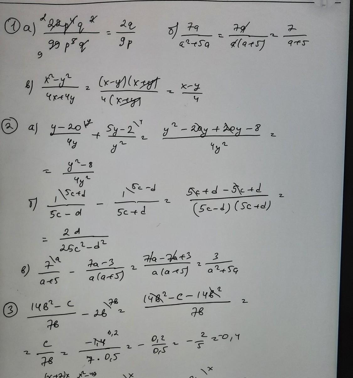
1) a) 2q/9p

b) (x-y)/4

2) a) (y²-8)/4y²

b) 2d/(25c²-d²)

c) 3/(a²+5a)

3) -0,4

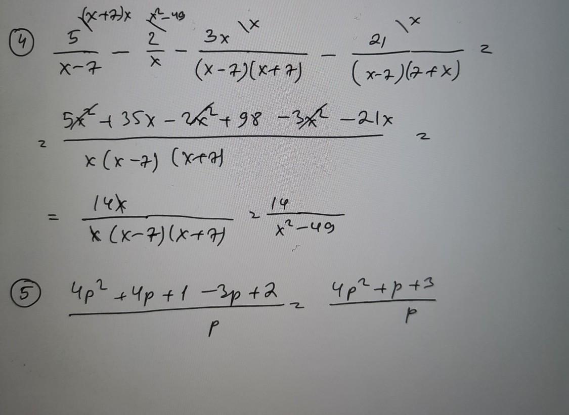
4) 14/(x²-49)

5) (4p²+p+3)/p

Приложения:

Аноним: спасибо большое
Вас заинтересует