• Предмет: Алгебра
  • Автор: aigormelkumyan
  • Вопрос задан 8 лет назад

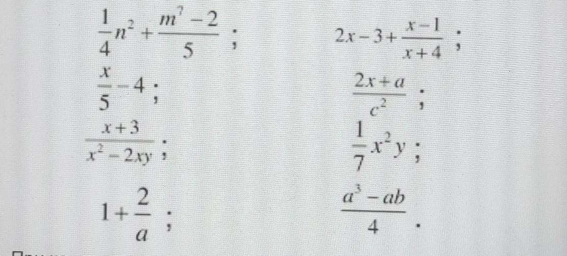
какие из следующих рациональных выражений являются целыми, а какие дробными?​

Приложения:

Ответы

Ответ дал: Аноним
1

Ответ:

Целые:

1/4n^2 + m^7 - 2/5

x/5 - 4

1/7x^2y

а^3 - ab / 4

Дробные:

x + 3 / x^2 - 2xy

1 + 2/a

2x - 3 + x - 1/x + 4

2x + а / c^2

Вас заинтересует