• Предмет: Алгебра
  • Автор: SahekS
  • Вопрос задан 8 лет назад

Добрый вечер помогите пожалуйста решить СРОЧНО:
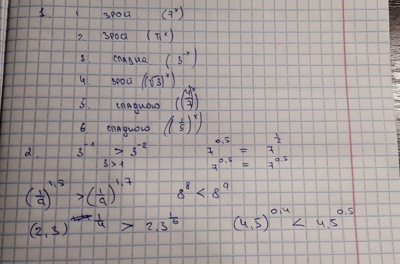
1. зростаючою чи спадною є функція
2. порівняти числа
файл во вложении

Приложения:

Ответы

Ответ дал: susickanasta258
1

Ответ:

Всё на фоточке)

Объяснение:

А какой ты класс?)

Приложения:

SahekS: 11 класс, спасибо большое.
susickanasta258: всегда пожалуйста) Я тоже в 11. обращайся
Вас заинтересует