Ответы
Ответ дал:
0
удачи.........,.......
Приложения:

boresenko2005:
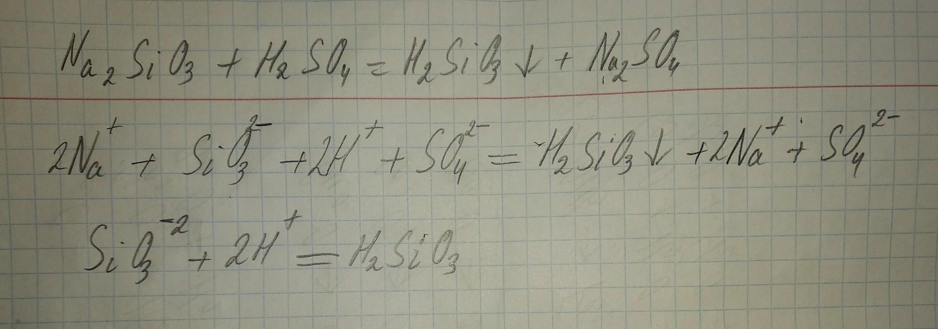
h2sio3 - ето не растворимая кислота
Вас заинтересует
2 года назад
2 года назад
3 года назад
8 лет назад
8 лет назад