• Предмет: Алгебра
  • Автор: efimenkodaryahome8
  • Вопрос задан 8 лет назад

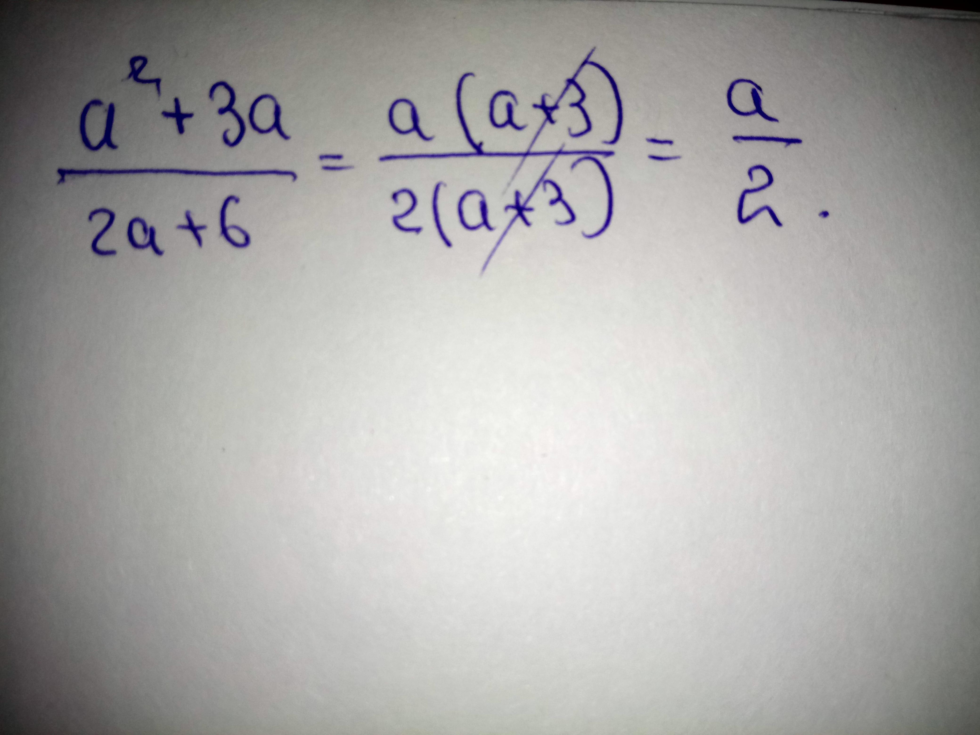
Скоротіть дріб а²+3а/2а+6 ​

Ответы

Ответ дал: Аноним
1

Відповідь: фото

Пояснення:

Приложения:
Вас заинтересует