• Предмет: Математика
  • Автор: gang3467
  • Вопрос задан 8 лет назад

Помогите решить уравнение

Приложения:

Ответы

Ответ дал: Аноним
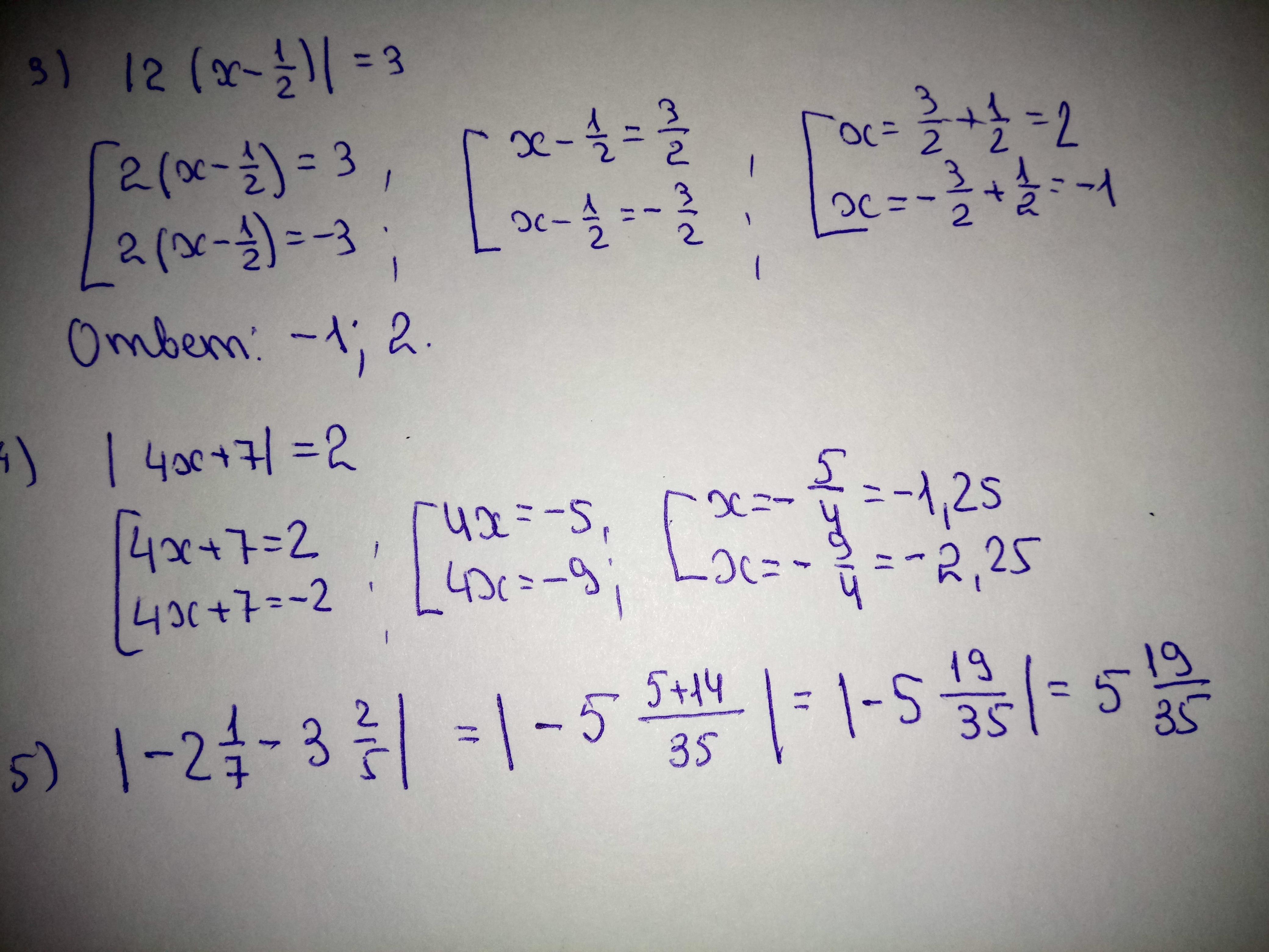
1

Решение задания прилагаю

Приложения:

gang3467: Спасибо большое, выручить смогли меня, а то уже всё подзабыл, а преподаватель требует работу над ошибками. Ещё раз спасибо
Ответ дал: 2shark2
0

Ответ:

Пошаговое объяснение:

|2(x - \frac{1}{2})| = 3

|2x - 1| = 3

1. 2x - 1 ≥ 0

2x - 1 = 3

2x = 3 + 1

2x = 4

x = 4 : 2

x = 2

2. 2x - 1 < 0

2x - 1 = -3

2x = -3 + 1

2x = -2

x = -2 : 2

x = -1

Ответ: х = 2; х = -1.

|4x + 7| = 2

1. 4x + 7 ≥ 0

4x + 7 = 2

4x = 2 - 7

4x = -5

x = -5 : 4

x = -1,25.

2. 4x + 7 < 0

4x + 7 = -2

4x = -2 - 7

4x = -9

x = -9 : 4

x = -2,25.

Ответ: х = -1,25; ч = -2,25.

|-2\frac{1}{7} -3\frac{2}{5}| = |-2\frac{1 * 5}{7 * 5} -3\frac{2 * 7}{5 * 7}| = |-2\frac{5}{35} -3\frac{14}{35}| = |-5\frac{19}{35}|

1. -5\frac{19}{35} ≥ 0

|-5\frac{19}{35}| = 5\frac{19}{35}

2. -5\frac{19}{35} < 0

|-5\frac{19}{35}| = -5\frac{19}{35}

Ответ: ±5\frac{19}{35}.

Вас заинтересует