• Предмет: Алгебра
  • Автор: nikolajcepurnyj244
  • Вопрос задан 8 лет назад

алгебра 8 класс СРОЧНО!!!​

Приложения:

Ответы

Ответ дал: aizadastybek
1

вариант 1

решение задач а-b-в-г

Приложения:
Ответ дал: Аноним
0

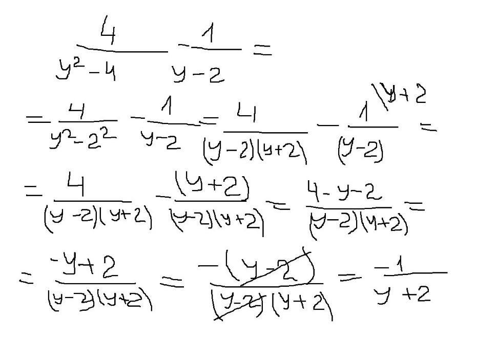
Ответ приведен в приложении.

Приложения:
Вас заинтересует