• Предмет: Математика
  • Автор: gaaaga80
  • Вопрос задан 8 лет назад

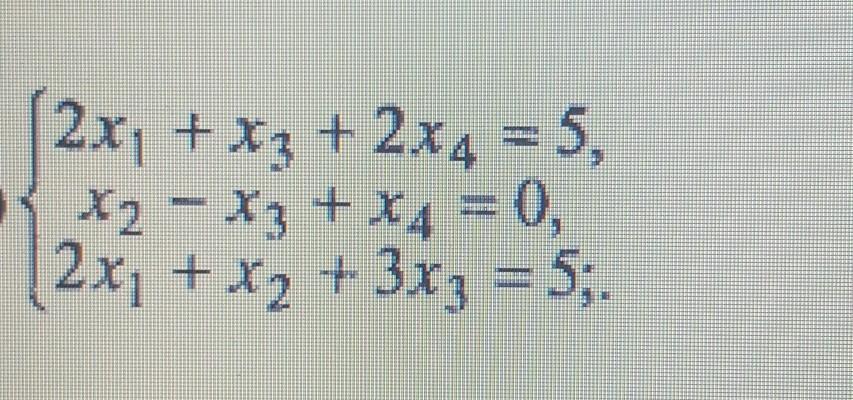
это решается ? ......Как?​

Приложения:

Warlock1: а есть ответы? у меня получилось х1=2.5, а х2,х3 и х4 равны 0
gaaaga80: нет ответов
Warlock1: ну оно как бы подходит, но за решение я не уверен. могу скинуть, в принципе мне это ничем не грозит)))
gaaaga80: скинь пожалуйста)

Ответы

Ответ дал: Warlock1
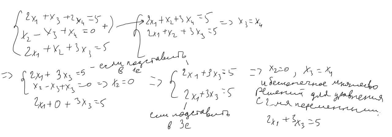
1

Ответ:

если что-то поймёшь))

Пошаговое объяснение:

Приложения:

Warlock1: складываем 1е и 2е, потом сравниваем получившееся с 3м, и выходит что 3х4=5 и 3х3=5, значит х3=х4
Warlock1: дальше подставляем х3 вместо х4
Warlock1: сек, накосячил чуток, подсправлю
Warlock1: а не, всё ок)))
Warlock1: Похоже, что так будет правильнее. В общем, ход решения я в любом случае подсказал.
gaaaga80: спасибо
Вас заинтересует