• Предмет: Математика
  • Автор: YuVika
  • Вопрос задан 8 лет назад

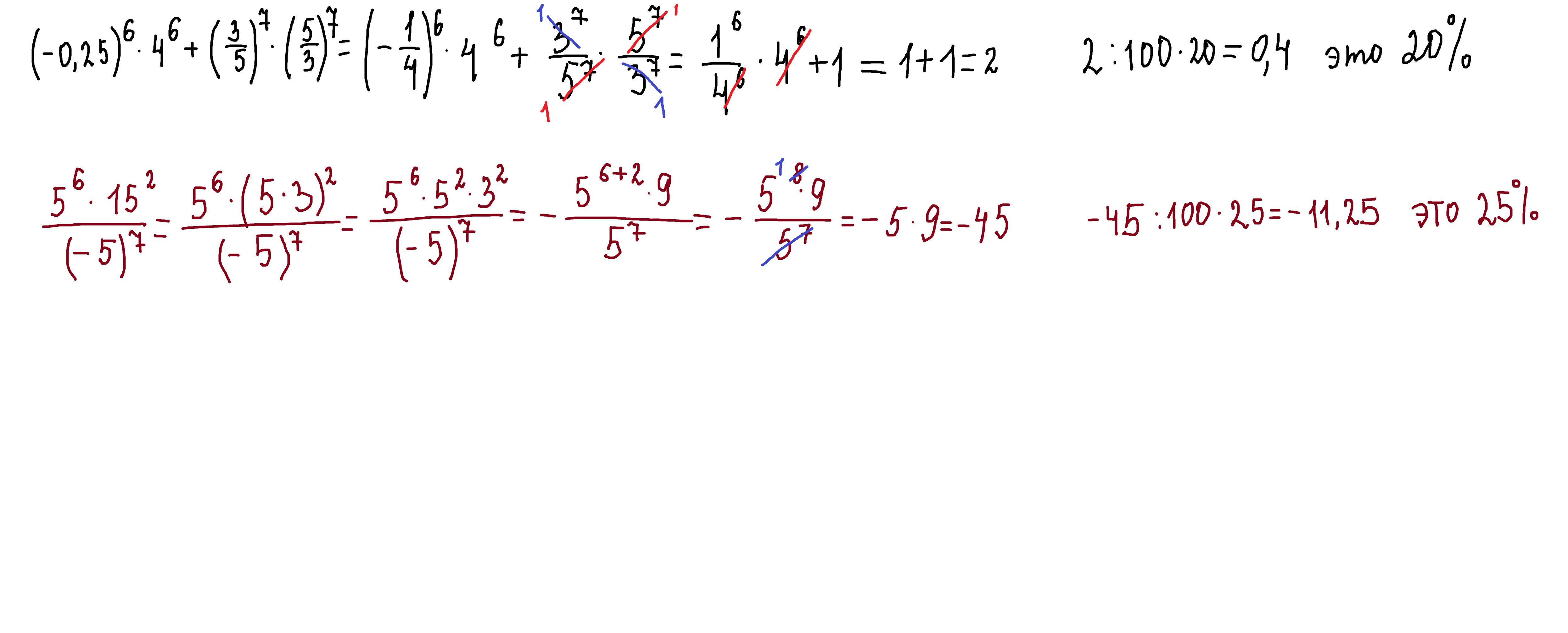
СРОЧНО Что больше: 20% от (-0.25)⁶ * 4⁶ + (\frac{3}{5} ) * (\frac{5}{3} ) или 25% от \frac{5^{6} * 15^{2} }{(-5)^{7} }


YuVika: (3/5) в 7 степени * (5/3) в 7 степени
YuVika: исправила

Ответы

Ответ дал: parus77
1

Ответ:

Пошаговое объяснение:

Значение первого выражения будет положительным,потому что отрицательное число в четной степени будет положительным.

Значение второго выражения будет отрицательным,потому что отрицательное число в нечетной степени будет отрицательным.

поэтому 20% от первого выражения больше,чем 25% второго выражения.

А в виде решения смотри внизу.

Приложения:
Вас заинтересует