• Предмет: Алгебра
  • Автор: karinasemenova482
  • Вопрос задан 8 лет назад

Помогите ПРОШУ!!!!!!!!!
За ответ 40 балов ​

Приложения:

Ответы

Ответ дал: dashaloveee715
1

Ответ:

Объяснение:

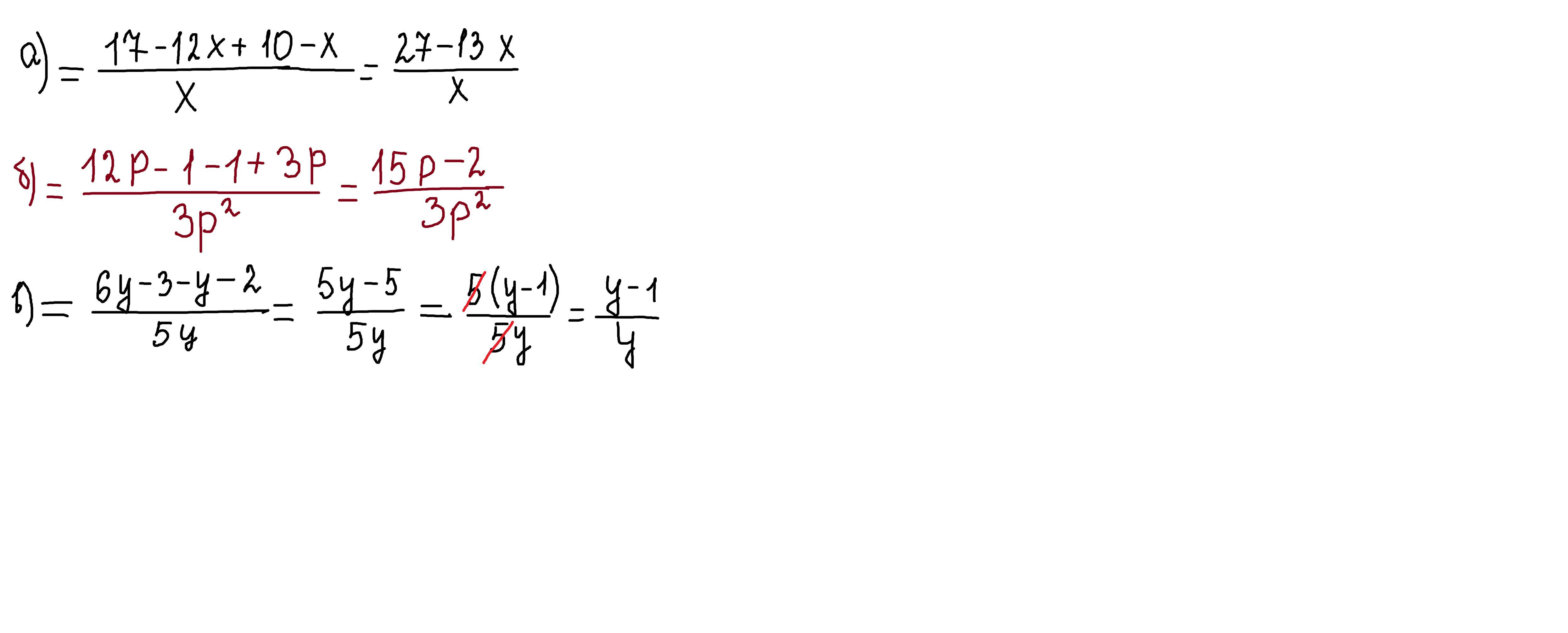
а) 17-12х/х+10-х/х=27-13х/х

б) 12р-1/3р^2-1-3р/3р^2=9р-2/3р^2

в) 6у-3/5у-у+2/5у=5у-1/5у=у-1/у


karinasemenova482: спасибо большое!!!!!!
dashaloveee715:
parus77: б) неправильно!!!!!!!!!!
dashaloveee715: Почему
Ответ дал: parus77
2

Ответ:

Объяснение:условие не записывала

решение смотри внизу

Приложения:
Вас заинтересует