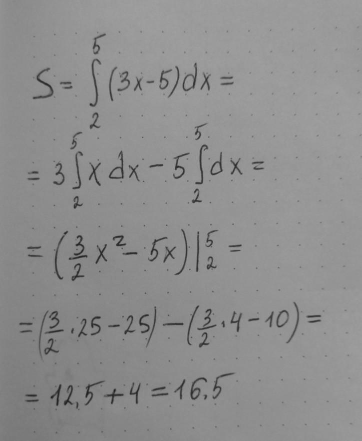
1. Вычилить площадь фигуры, ограниченный линиями. 1 y = 0, х = 2 x=5, y = 3х - 5 Изобразим фигуру. им фигуру, площадь которой нужно вычислить.
Ответы
Ответ дал:
1
Ответ: площадь фигуры равна 16.5 кв.ед.
График и решение в приложениях.
Можно найти площадь фигуры (или проверить решение интегралов), разбив заштрихованную фигуру на две: прямоугольный треугольник и прямоугольник. Прямоугольный треугольник имеет катеты, которые равны 9 ед. и 3 ед., площадь его = (9×3)÷2 = 13.5 кв.ед. Прямоугольник имеет стороны 1 ед. и 3 ед., площадь его = 1×3 = 3 кв.ед.. Площадь общей фигуры = 13.5+3 = 16.5 кв.ед.
Ответы совпадают.
Приложения:


Вас заинтересует
2 года назад
2 года назад
3 года назад
3 года назад
8 лет назад
9 лет назад