• Предмет: Алгебра
  • Автор: zaharlinolium
  • Вопрос задан 8 лет назад

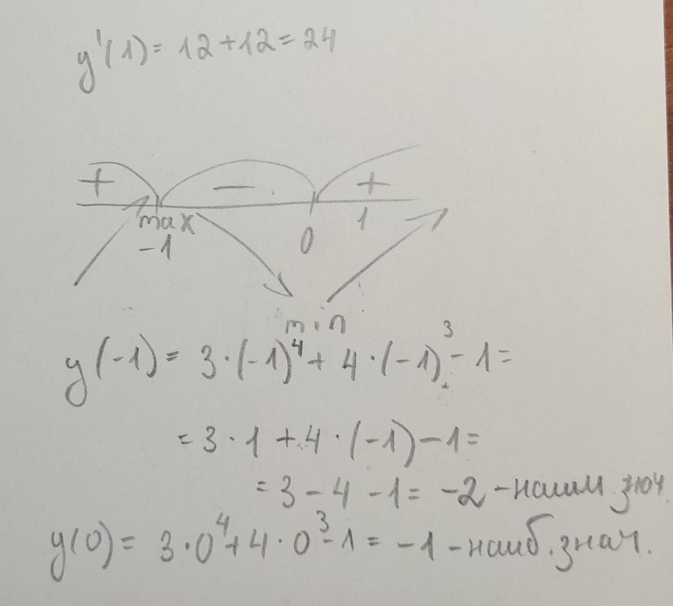
Найти наибольшее и наименьшее значение функции f(x)=3x^4+4x^3-1 на отрезке [-1;1]

Ответы

Ответ дал: darakolasni
0

Объяснение:

y'=12x^3+12x^2

y'=0

12x^3+12x^2=0

x^2(12x+12)=0

x^2=0 12x+12=0

x=0. x=(-1)

Приложения:
Вас заинтересует