• Предмет: Алгебра
  • Автор: fox210779
  • Вопрос задан 8 лет назад

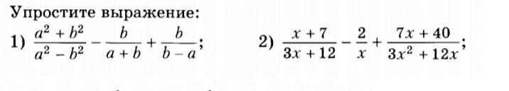
Упростите выражение


Желательно текстом

Приложения:

Ответы

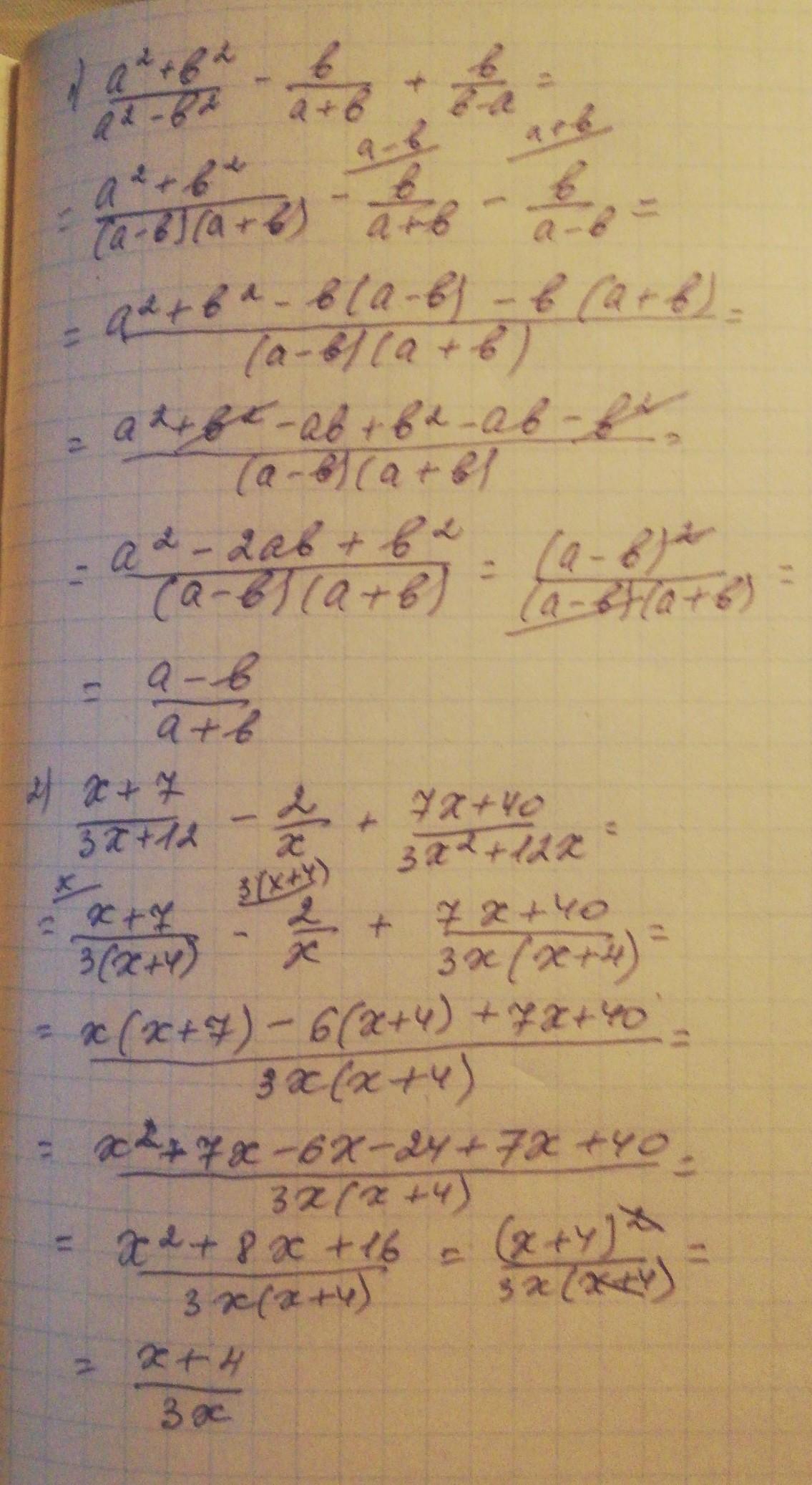
Ответ дал: larisaserova53
0

Ответ:

Смотри решение на фото выше

Приложения:

larisaserova53: Если что-то непонятно, спрашивай-отвечу
Вас заинтересует