• Предмет: Алгебра
  • Автор: fox210779
  • Вопрос задан 8 лет назад

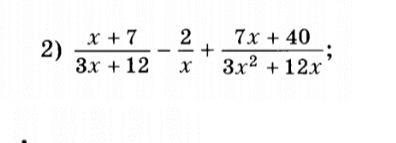
Упростите выражение


СРОЧНО

Приложения:

Ответы

Ответ дал: 165ABr
0

Ответ:

= \frac{x+7}{3(x+4)} -\frac{2}{x} +\frac{7x+40}{3x(x+4)} =\frac{x(x+7)-6(x+4)+7x+40}{3x(x+4)} =\frac{x^{2} +8x+16}{3x(x+4)} =\frac{(x+4)^{2} }{3x(x+4)} =\frac{x+4 }{3x}

Вас заинтересует