• Предмет: Геометрия
  • Автор: Маry
  • Вопрос задан 11 лет назад

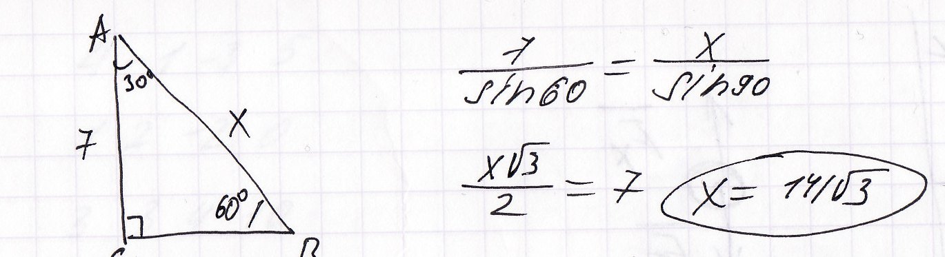
Дано: треугольник АВС, угол С равен 90 градусам, АС=7 см, угол А =30 градусов.Найти :АB?

Ответы

Ответ дал: ZORGe
0

..................................

Приложения:
Ответ дал: shmatov1994
0

треуг АВС-прямоуг (угол С=90)

угол А = 30 гр=>угол В=90-30=60 гр

sin B=AC/AB=>AB=AC/sin B=7/sin 60 гр=7/(корень из 3/2)=14/корень из 3=14*корень из 3/3

Ответ:(14*корень из 3)/3

Приложения:
Вас заинтересует