• Предмет: Математика
  • Автор: nrovsenqizi
  • Вопрос задан 8 лет назад

Пожалуйста, помогите быстро​

Приложения:

bubencikovaaleksandr: извини

Ответы

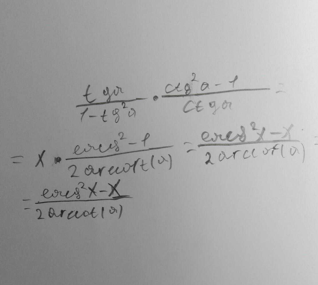
Ответ дал: bubencikovaaleksandr
1

Ответ:

вот решение на эту задачу

Приложения:

nrovsenqizi: не правильно
nrovsenqizi: :(
Вас заинтересует