• Предмет: Алгебра
  • Автор: uliatina
  • Вопрос задан 8 лет назад

срочно пж и розвязок

Приложения:

Ответы

Ответ дал: GenialdiI
1

Ответ:

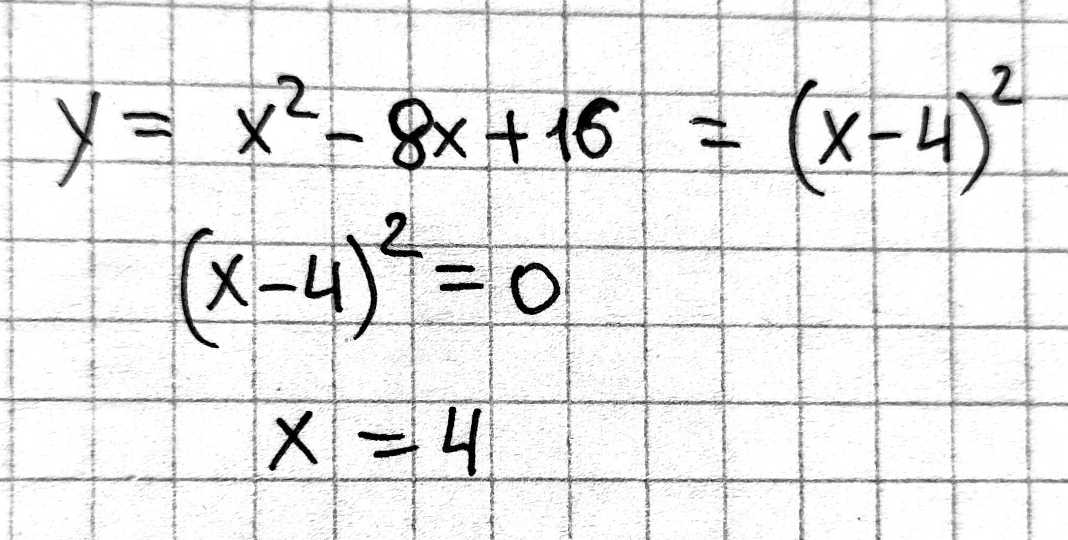
Ответ Б

Объяснение:

нули функции соответствуют точкам, в которых график пересекает ось Ох

Приложения:
Вас заинтересует